Free Access

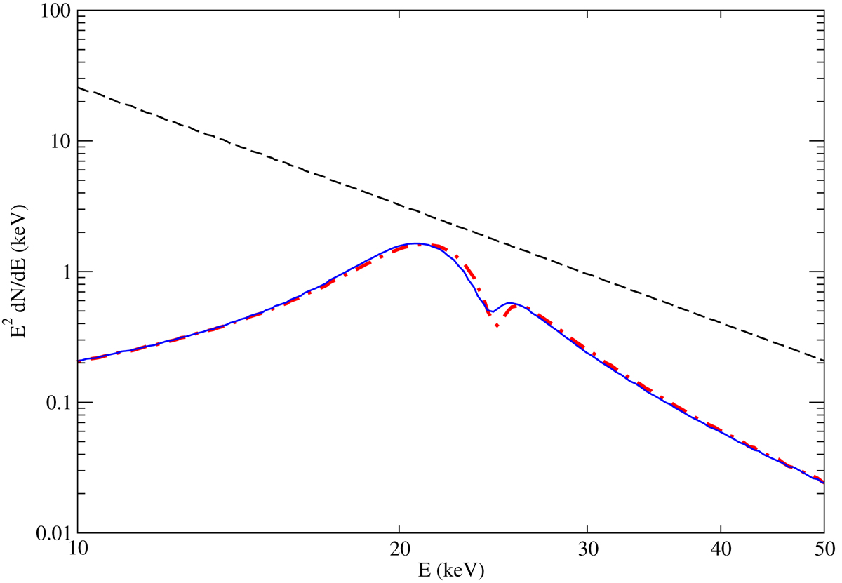
Fig. 7.

image

Download original image

Reflected spectra in all directions in E2 dN/dE form, with arbitrary units, as a function of energy E in keV. The red dot-dashed line corresponds to a beam with m = 1, while the blue solid line to a beam with m = 3. The shock height is H = 5 km and the input spectrum is given by the black dashed line.

Current usage metrics show cumulative count of Article Views (full-text article views including HTML views, PDF and ePub downloads, according to the available data) and Abstracts Views on Vision4Press platform.

Data correspond to usage on the plateform after 2015. The current usage metrics is available 48-96 hours after online publication and is updated daily on week days.

Initial download of the metrics may take a while.