Free Access

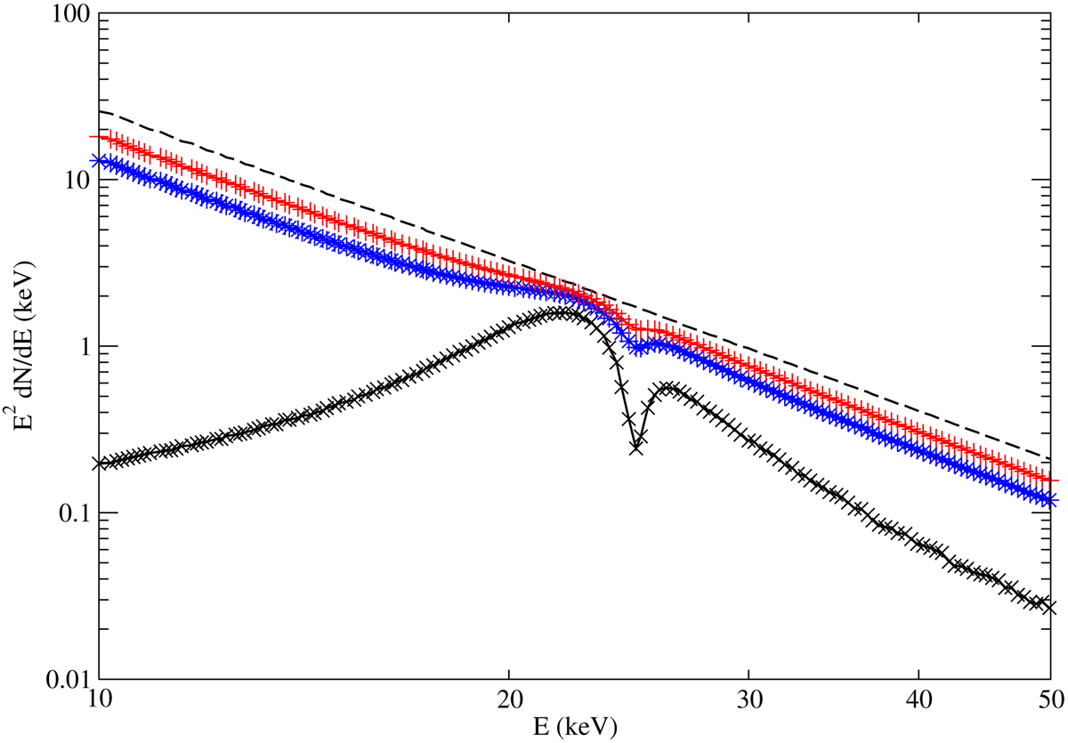
Fig. 8.

image

Download original image

Reflected spectrum (crosses) in all directions in E2 dN/dE form, with arbitrary units, as a function of energy E in keV. The photons are emitted in a beam with m = 1. The shock height is H = 2 km. The other two lines show mixed spectra: 50% direct and 50% reflected (stars) and 70% direct and 30% reflected (pluses). The input spectrum is given by the black dashed line.

Current usage metrics show cumulative count of Article Views (full-text article views including HTML views, PDF and ePub downloads, according to the available data) and Abstracts Views on Vision4Press platform.

Data correspond to usage on the plateform after 2015. The current usage metrics is available 48-96 hours after online publication and is updated daily on week days.

Initial download of the metrics may take a while.