Free Access

Fig. 9.

image

Download original image

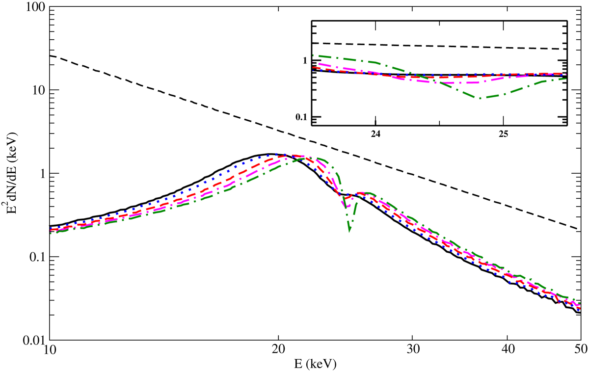
Reflected spectra in all directions in E2 dN/dE form, with arbitrary units, as a function of energy E in keV for different shock heights: H = 10 km (black solid line), H = 8 km (blue dotted line), H = 5 km (red dashed line), H = 3 km (magenta dot-dashed line), and H = 1 km (green dash – dotted line). The dashed straight line is the input spectrum. The photons are emitted in a beam with m = 3. In the inset, we zoom into the absorption feature, with the horizontal axis linear.

Current usage metrics show cumulative count of Article Views (full-text article views including HTML views, PDF and ePub downloads, according to the available data) and Abstracts Views on Vision4Press platform.

Data correspond to usage on the plateform after 2015. The current usage metrics is available 48-96 hours after online publication and is updated daily on week days.

Initial download of the metrics may take a while.