Free Access

Fig. 9.

image

Download original image

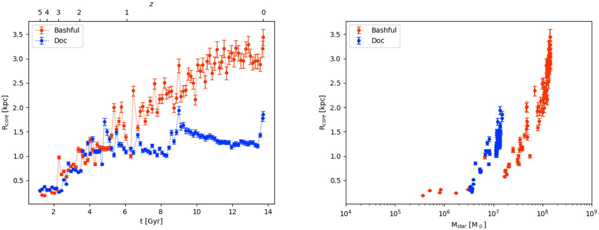
Left panel: temporal evolution of the core size for the two dwarfs. The rich stellar activity of Bashful (red) leads to a central core which consistently grows in time until it reaches a present-day core radius of kpc. During long quiescence periods, the dark matter core of Doc (blue) remains stable, albeit with a slow decrease in size; its the present day size is kpc. Right panel: evolution of the core radius for Bashful (red) and Doc (blue) as a function of their stellar mass. In order to estimate the error bars for the core radii, we added or subtracted the Poisson noise to or from the dark matter density profile of the two dwarfs and we fitted the resulting profiles for the core radius.

Current usage metrics show cumulative count of Article Views (full-text article views including HTML views, PDF and ePub downloads, according to the available data) and Abstracts Views on Vision4Press platform.

Data correspond to usage on the plateform after 2015. The current usage metrics is available 48-96 hours after online publication and is updated daily on week days.

Initial download of the metrics may take a while.