Free Access

Fig. 7

image

Download original image

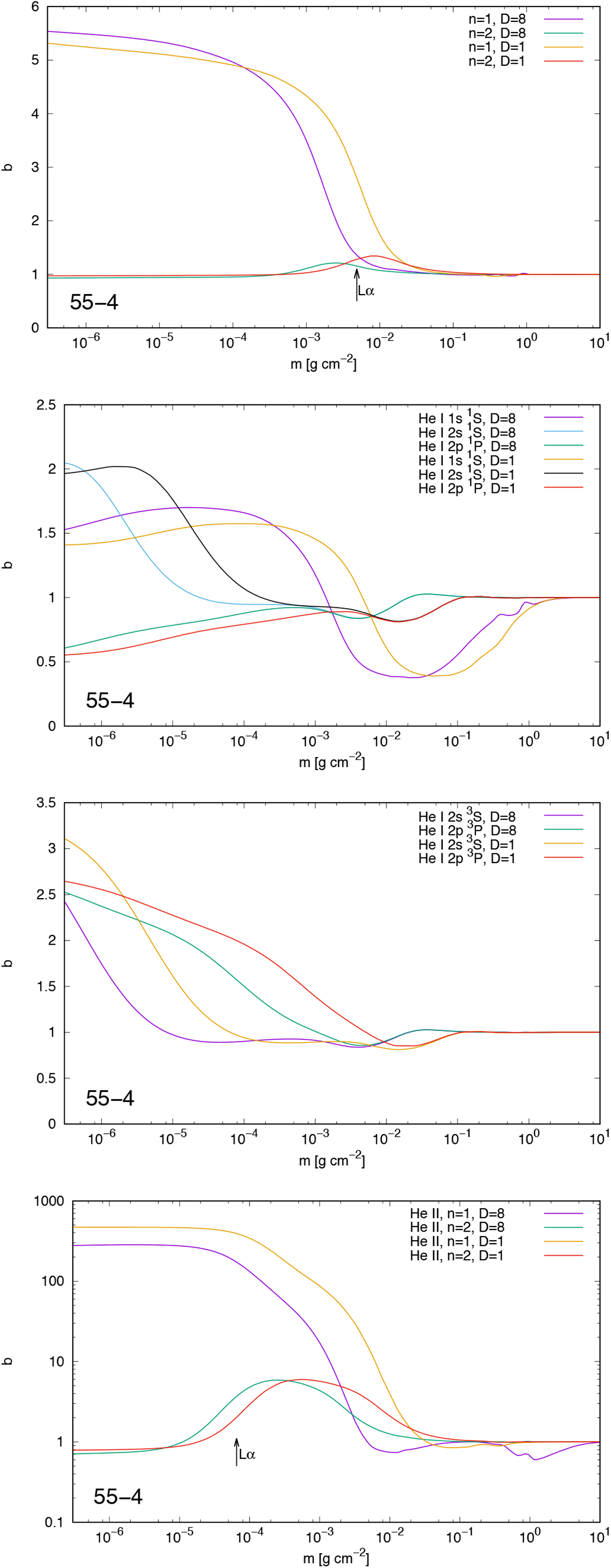
Departure coefficients (b-factors) for clumpingfactors D = 1 and D = 8 and for selected atomic levels for a set of model atmospheres 55-4 (for basic global model parameters, see Table 1). From the top panel: H I n = 1 and n = 2 levels; He I 1s 1S, 2s 1S, and 2p 1P levels; He I 2s 3S and 2p 3P levels; He II n = 1 and n = 2 levels.

Current usage metrics show cumulative count of Article Views (full-text article views including HTML views, PDF and ePub downloads, according to the available data) and Abstracts Views on Vision4Press platform.

Data correspond to usage on the plateform after 2015. The current usage metrics is available 48-96 hours after online publication and is updated daily on week days.

Initial download of the metrics may take a while.