Free Access

Fig. 3.

image

Download original image

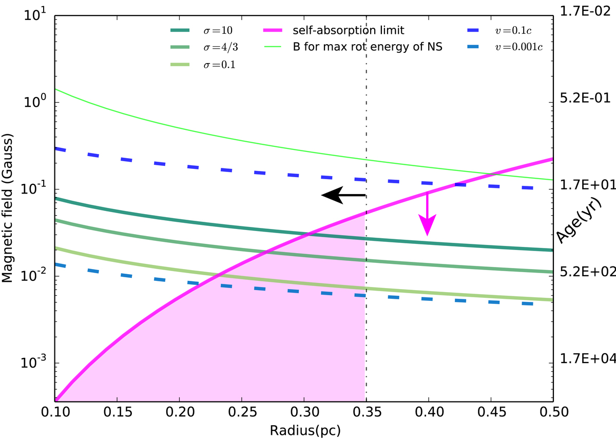
Constraints on the parameters of the emitting plasma from available observations. Minimum energy requirements and the optically thin radio SED together restricts the allowed region in the plane of magnetic field (B) and radius (R). Considering the spectral break at 9.2 GHz to be due to synchrotron cooling, B can be translated to the age of the source (second y-axis). The magenta solid line and the shaded region correspond to self-absorption frequency, νa ≤ 400 MHz. The thick solid lines in shades of green represent B versus R relation resulting from the minimum energy argument for different values of the magnetization parameter σ (see text for details). The sensitivity on the electron energy spectral index is not high and we have used p = 1.2 in this calculation. The thin green line corresponds to the highest magnetic field possible, if 1052 ergs of magnetar rotational energy is converted to magnetic fields. Dashed lines in shades of blue result from equating the age obtained through synchrotron cooling with R/v, where v is assumed expansion velocity. VLBI upper limit on the radius of the source is indicated with a black arrow.

Current usage metrics show cumulative count of Article Views (full-text article views including HTML views, PDF and ePub downloads, according to the available data) and Abstracts Views on Vision4Press platform.

Data correspond to usage on the plateform after 2015. The current usage metrics is available 48-96 hours after online publication and is updated daily on week days.

Initial download of the metrics may take a while.