Free Access

Fig. 7

image

Download original image

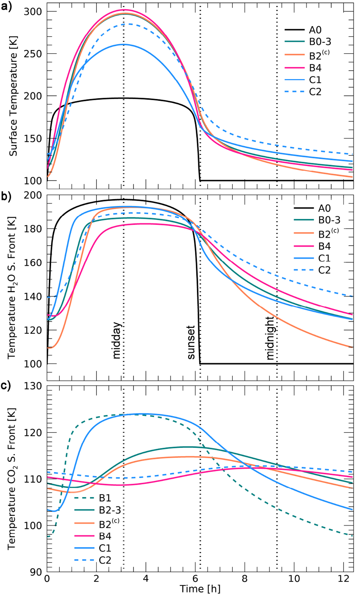
Diurnal change of the temperature at the equator of the surface (a), at the sublimation front of H2O-ice (b) and at the sublimation front of CO2-ice (c). The parameters of the different models are presented in Table 2. The dotted vertical lines indicate midday, the sunset terminator and midnight.

Current usage metrics show cumulative count of Article Views (full-text article views including HTML views, PDF and ePub downloads, according to the available data) and Abstracts Views on Vision4Press platform.

Data correspond to usage on the plateform after 2015. The current usage metrics is available 48-96 hours after online publication and is updated daily on week days.

Initial download of the metrics may take a while.