Free Access
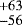
Table A.1
R-band polarimetric results of 249 stars observed toward L1172/1174.
| Star | l | b | P ± σP | θ ± σθ | d ± σd |
|---|---|---|---|---|---|
| Id | (°) | (°) | (%) | (°) | (pc) |
| 1 | 103.369563 | 13.535764 | 1.8 ± 0.4 | 191 ± 5 | 1335 |
| 2 | 103.376949 | 13.534869 | 1.9 ± 0.4 | 192 ± 4 | 461 |
| 3 | 103.388335 | 13.423807 | 3.6 ± 1.0 | 194 ± 7 | 1269 |
| 4 | 103.391221 | 13.371439 | 2.0 ± 0.1 | 189 ± 1 | 1295 |
| 5 | 103.396714 | 13.370003 | 0.8 ± 0.3 | 184 ± 6 | 882 |
| 6 | 103.399226 | 13.548511 | 1.8 ± 0.5 | 188 ± 6 | 2088 |
| 7 | 103.403268 | 13.643440 | 2.8 ± 0.5 | 205 ± 5 | 2619 |
| 8 | 103.405470 | 13.542955 | 2.3 ± 0.4 | 188 ± 4 | 5459 |
| 9 | 103.407969 | 13.506287 | 2.1 ± 0.1 | 193 ± 1 | 475 |
| 10 | 103.413906 | 13.654661 | 1.5 ± 0.5 | 200 ± 7 | 6033 |
| 11 | 103.420810 | 13.460331 | 1.9 ± 0.4 | 200 ± 5 | 469 |
| 12 | 103.425854 | 13.408299 | 2.7 ± 0.9 | 185 ± 8 | 3717 |
| 13 | 103.427039 | 13.500412 | 2.4 ± 0.1 | 191 ± 1 | 659 |
| 14 | 103.432185 | 13.336416 | 2.1 ± 0.1 | 197 ± 1 | 457 |
| 15 | 103.432276 | 13.357525 | 2.1 ± 0.1 | 191 ± 1 | 552 |
| 16 | 103.433914 | 13.462983 | 1.7 ± 0.1 | 202 ± 1 | 665 |
| 17 | 103.445397 | 13.488413 | 1.8 ± 0.6 | 180 ± 7 | 2957 |
| 18 | 103.446267 | 13.324590 | 2.4 ± 0.5 | 193 ± 5 | 3176 |
| 19 | 103.446568 | 13.834850 | 1.3 ± 0.4 | 196 ± 6 | 3428 |
| 20 | 103.453856 | 13.366588 | 2.5 ± 0.6 | 191 ± 6 | 2097 |
| 21 | 103.466449 | 13.297720 | 1.5 ± 0.3 | 200 ± 4 | 779 |
| 22 | 103.469665 | 13.821971 | 1.6 ± 0.1 | 200 ± 2 | 457 |
| 23 | 103.484429 | 13.259809 | 2.2 ± 0.5 | 200 ± 5 | 658 |
| 24 | 103.496048 | 13.316274 | 2.2 ± 0.3 | 201 ± 3 | 1892 |
| 25 | 103.500559 | 13.963767 | 0.8 ± 0.3 | 202 ± 6 | 1800 |
| 26 | 103.513589 | 13.762300 | 2.2 ± 0.4 | 207 ± 5 | 765 |
| 27 | 103.515728 | 13.971093 | 1.8 ± 0.2 | 191 ± 2 | 6644 |
| 28 | 103.517554 | 13.306443 | 2.3 ± 0.5 | 195 ± 5 | 3523 |
| 29 | 103.522295 | 13.800443 | 2.0 ± 0.2 | 192 ± 2 | 1588 |
| 30 | 103.524179 | 13.922084 | 2.2 ± 0.3 | 188 ± 3 | 804 |
| 31 | 103.527084 | 13.154722 | 1.7 ± 0.2 | 184 ± 3 | 879 |
| 32 | 103.528496 | 13.281828 | 1.9 ± 0.2 | 192 ± 3 | 1014 |
| 33 | 103.530729 | 13.817294 | 2.2 ± 0.2 | 199 ± 2 | 426 |
| 34 | 103.531432 | 13.964377 | 2.1 ± 0.1 | 189 ± 1 | 2415 |
| 35 | 103.532947 | 13.236985 | 3.5 ± 0.5 | 190 ± 4 | 2165 |
| 36 | 103.536011 | 13.799642 | 3.1 ± 0.2 | 204 ± 1 | 2322 |
| 37 | 103.547924 | 13.271056 | 2.2 ± 0.1 | 198 ± 1 | 1146 |
| 38 | 103.561086 | 13.923598 | 1.3 ± 0.3 | 207 ± 5 | 773 |
| 39 | 103.561332 | 13.119313 | 1.1 ± 0.3 | 159 ± 5 | 1108 |
| 40 | 103.569513 | 13.423153 | 1.9 ± 0.1 | 202 ± 1 | 751 |
| 41 | 103.576086 | 13.925862 | 1.8 ± 0.4 | 195 ± 5 | 1175 |
| 42 | 103.577631 | 13.424342 | 1.9 ± 0.6 | 195 ± 6 | 4283 |
| 43 | 103.578790 | 13.925869 | 2.0 ± 0.4 | 205 ± 4 | 630 |
| 44 | 103.579566 | 13.171484 | 1.0 ± 0.2 | 189 ± 5 | 428 |
| 45 | 103.610325 | 13.569492 | 1.4 ± 0.3 | 199 ± 4 | 2222 |
| 46 | 103.613454 | 13.416918 | 1.7 ± 0.5 | 191 ± 7 | 6817 |
| 47 | 103.615140 | 13.553508 | 2.2 ± 0.4 | 193 ± 4 | 347 |
| 48 | 103.615277 | 13.441983 | 2.7 ± 0.8 | 207 ± 7 | 2376 |
| 49 | 103.620378 | 13.534314 | 2.5 ± 0.4 | 202 ± 4 | 889 |
| 50 | 103.622884 | 13.548024 | 2.1 ± 0.4 | 203 ± 5 | 1255 |
| 51 | 103.625378 | 13.540711 | 2.5 ± 0.6 | 205 ± 6 | 700 |
| 52 | 103.631329 | 13.531912 | 3.4 ± 0.6 | 215 ± 4 | 778 |
| 53 | 103.632864 | 14.049986 | 2.5 ± 0.4 | 196 ± 4 | 1042 |
| 54 | 103.638274 | 13.523002 | 2.3 ± 0.2 | 205 ± 2 | 498 |
| 55 | 103.648487 | 14.041594 | 1.5 ± 0.3 | 198 ± 5 | 1429 |
| 56 | 103.653112 | 13.516389 | 2.3 ± 0.5 | 203 ± 5 | 1841 |
| 57 | 103.657643 | 13.573459 | 2.7 ± 0.4 | 201 ± 4 | 1874 |
| 58 | 103.662384 | 13.512556 | 1.6 ± 0.2 | 199 ± 3 | 856 |
| 59 | 103.662619 | 13.545521 | 1.8 ± 0.1 | 207 ± 2 | 355 |
| 60 | 103.664697 | 13.001426 | 0.7 ± 0.2 | 186 ± 5 | 741 |
| 61 | 103.666569 | 13.051837 | 1.3 ± 0.4 | 145 ± 6 | 2075 |
| 62 | 103.680989 | 13.501700 | 1.3 ± 0.1 | 205 ± 2 | 1686 |
| 63 | 103.681499 | 13.550944 | 2.0 ± 0.3 | 206 ± 4 | 1293 |
| 64 | 103.682929 | 13.658846 | 3.8 ± 0.2 | 201 ± 1 | 1709 |
| 65 | 103.683858 | 13.653563 | 1.7 ± 0.3 | 204 ± 5 | 6516 |
| 66 | 103.685928 | 13.652803 | 2.7 ± 0.3 | 203 ± 2 | 1847 |
| 67 | 103.690315 | 13.629575 | 3.5 ± 0.6 | 206 ± 4 | 1208 |
| 68 | 103.691753 | 13.496346 | 1.1 ± 0.3 | 195 ± 5 | 1386 |
| 69 | 103.699510 | 13.625001 | 4.0 ± 0.5 | 223 ± 3 | 644 |
| 70 | 103.712075 | 14.044119 | 1.4 ± 0.2 | 189 ± 3 | 4309 |
| 71 | 103.717844 | 14.098736 | 1.0 ± 0.1 | 189 ± 3 | 785 |
| 72 | 103.718710 | 13.585106 | 2.6 ± 0.8 | 191 ± 7 | 2087 |
| 73 | 103.727308 | 14.084367 | 3.7 ± 0.6 | 185 ± 4 | 1888 |
| 74 | 103.728869 | 14.078656 | 2.3 ± 0.5 | 188 ± 6 | 722 |
| 75 | 103.730889 | 14.107847 | 3.8 ± 0.4 | 206 ± 3 | 1903 |
| 76 | 103.735578 | 13.086863 | 0.6 ± 0.1 | 198 ± 2 | 388 |
| 77 | 103.737300 | 13.592209 | 1.9 ± 0.2 | 194 ± 3 | 946 |
| 78 | 103.740288 | 14.046160 | 3.8 ± 1.0 | 198 ± 7 | 3209 |
| 79 | 103.743451 | 13.589382 | 2.2 ± 0.6 | 194 ± 6 | 5048 |
| 80 | 103.743481 | 14.053415 | 3.2 ± 0.5 | 200 ± 4 | 2627 |
| 81 | 103.750202 | 13.621534 | 1.9 ± 0.4 | 214 ± 5 | 1103 |
| 82 | 103.751125 | 13.066935 | 3.9 ± 0.8 | 201 ± 5 | 1918 |
| 83 | 103.751810 | 14.198525 | 2.0 ± 0.2 | 214 ± 3 | 539 |
| 84 | 103.753142 | 14.055722 | 3.9 ± 0.4 | 200 ± 3 | 689 |
| 85 | 103.753376 | 14.158306 | 5.8 ± 0.6 | 166 ± 3 | 670 |
| 86 | 103.757171 | 13.044135 | 1.1 ± 0.1 | 186 ± 2 | 1510 |
| 87 | 103.759157 | 14.202982 | 1.9 ± 0.6 | 195 ± 8 | 1140 |
| 88 | 103.771324 | 14.083528 | 2.3 ± 0.5 | 216 ± 6 | 1787 |
| 89 | 103.779461 | 14.166562 | 1.3 ± 0.4 | 199 ± 8 | 3176 |
| 90 | 103.784884 | 13.017830 | 1.0 ± 0.2 | 176 ± 3 | 2308 |
| 91 | 103.786605 | 14.168643 | 0.9 ± 0.1 | 206 ± 2 | 756 |
| 92 | 103.788275 | 14.044542 | 3.0 ± 0.8 | 213 ± 8 | 380 |
| 93 | 103.795807 | 14.224410 | 2.0 ± 0.6 | 208 ± 9 | 915 |
| 94 | 103.795808 | 14.041406 | 3.7 ± 0.3 | 210 ± 2 | 2489 |
| 95 | 103.799506 | 14.333130 | 1.1 ± 0.2 | 172 ± 6 | 338 |
| 96 | 103.804584 | 14.310143 | 2.4 ± 0.6 | 185 ± 7 | 1777 |
| 97 | 103.804980 | 14.054295 | 3.3 ± 0.4 | 212 ± 3 | 3635 |
| 98 | 103.807211 | 14.052721 | 4.1 ± 0.1 | 211 ± 1 | 1267 |
| 99 | 103.810584 | 14.308802 | 0.8 ± 0.3 | 210 ± 7 | 734 |
| 100 | 103.814455 | 13.573526 | 2.7 ± 0.9 | 190 ± 9 | 388 |
| 101 | 103.817286 | 13.567570 | 4.1 ± 0.6 | 196 ± 4 | 4632 |
| 102 | 103.817426 | 14.327622 | 2.2 ± 0.6 | 213 ± 7 | 3948 |
| 103 | 103.822409 | 14.433230 | 1.7 ± 0.4 | 183 ± 7 | 1160 |
| 104 | 103.822561 | 14.466048 | 1.2 ± 0.3 | 170 ± 6 | 962 |
| 105 | 103.824957 | 13.579997 | 2.9 ± 0.5 | 179 ± 5 | 1155 |
| 106 | 103.833996 | 14.484050 | 0.6 ± 0.1 | 174 ± 6 | 682 |
| 107 | 103.834634 | 14.218497 | 2.0 ± 0.3 | 183 ± 5 | 918 |
| 108 | 103.837299 | 14.291510 | 1.7 ± 0.4 | 223 ± 7 | 2621 |
| 109 | 103.841372 | 14.504933 | 1.6 ± 0.2 | 172 ± 3 | 4491 |
| 110 | 103.842941 | 14.199902 | 2.4 ± 0.6 | 188 ± 7 | 1252 |
| 111 | 103.848589 | 14.261173 | 4.0 ± 1.0 | 157 ± 7 | 973 |
| 112 | 103.852653 | 14.485000 | 1.2 ± 0.2 | 165 ± 5 | 742 |
| 113 | 103.855020 | 13.592059 | 0.9 ± 0.1 | 182 ± 3 | 635 |
| 114 | 103.858440 | 14.428986 | 1.3 ± 0.4 | 181 ± 8 | 999 |
| 115 | 103.867833 | 13.513033 | 0.9 ± 0.2 | 182 ± 4 | 1503 |
| 116 | 103.872988 | 14.462072 | 0.8 ± 0.2 | 163 ± 8 | 1016 |
| 117 | 103.873111 | 13.833073 | 2.0 ± 0.6 | 182 ± 8 | 1538 |
| 118 | 103.882462 | 13.779338 | 3.0 ± 0.5 | 192 ± 4 | 1312 |
| 119 | 103.884349 | 14.449414 | 1.4 ± 0.3 | 160 ± 6 | 968 |
| 120 | 103.884904 | 14.440311 | 1.7 ± 0.3 | 175 ± 4 | 1983 |
| 121 | 103.888410 | 14.261025 | 0.6 ± 0.1 | 203 ± 2 | 553 |
| 122 | 103.889634 | 13.873195 | 3.7 ± 0.4 | 213 ± 3 | 2350 |
| 123 | 103.890580 | 13.579406 | 1.7 ± 0.4 | 184 ± 6 | 1476 |
| 124 | 103.894501 | 14.451970 | 1.5 ± 0.2 | 173 ± 4 | 445 |
| 125 | 103.895567 | 13.555001 | 0.7 ± 0.3 | 199 ± 8 | 761 |
| 126 | 103.896591 | 14.258742 | 1.2 ± 0.3 | 207 ± 5 | 6048 |
| 127 | 103.898571 | 13.623524 | 2.7 ± 0.7 | 201 ± 7 | 1569 |
| 128 | 103.901924 | 14.271198 | 1.1 ± 0.2 | 200 ± 4 | 2243 |
| 129 | 103.907345 | 13.604975 | 2.5 ± 0.8 | 154 ± 8 | 518 |
| 130 | 103.912882 | 13.847550 | 2.3 ± 0.2 | 225 ± 3 | 1370 |
| 131 | 103.917862 | 13.901485 | 2.0 ± 0.1 | 211 ± 1 | 478 |
| 132 | 103.920679 | 13.754134 | 1.9 ± 0.5 | 201 ± 5 | 8655 |
| 133 | 103.924358 | 13.587156 | 1.8 ± 0.2 | 198 ± 4 | 800 |
| 134 | 103.925239 | 13.830119 | 1.5 ± 0.2 | 219 ± 3 | 522 |
| 135 | 103.937410 | 14.509685 | 0.7 ± 0.2 | 159 ± 6 | 1066 |
| 136 | 103.941902 | 13.715247 | 1.2 ± 0.2 | 199 ± 3 | 1917 |
| 137 | 103.942720 | 13.852638 | 2.5 ± 0.3 | 222 ± 3 | 2783 |
| 138 | 103.943406 | 13.772898 | 2.1 ± 0.4 | 200 ± 5 | 1312 |
| 139 | 103.946746 | 13.767981 | 1.2 ± 0.2 | 216 ± 3 | 849 |
| 140 | 103.949191 | 13.887192 | 2.1 ± 0.2 | 226 ± 3 | 3843 |
| 141 | 103.955544 | 14.539678 | 1.5 ± 0.1 | 178 ± 3 | 3345 |
| 142 | 103.970348 | 14.264221 | 4.6 ± 0.3 | 125 ± 2 | 2782 |
| 143 | 103.970485 | 14.478970 | 1.0 ± 0.3 | 184 ± 7 | 2569 |
| 144 | 103.976066 | 13.879128 | 3.2 ± 0.7 | 225 ± 6 | 3133 |
| 145 | 103.983313 | 14.557376 | 1.1 ± 0.1 | 189 ± 3 | 2313 |
| 146 | 103.987328 | 14.504984 | 1.6 ± 0.1 | 183 ± 1 | 1593 |
| 147 | 103.994239 | 14.075042 | 1.5 ± 0.2 | 205 ± 3 | 1825 |
| 148 | 103.994364 | 13.897979 | 4.5 ± 1.0 | 228 ± 6 | 1769 |
| 149 | 103.996604 | 14.520752 | 1.9 ± 0.5 | 178 ± 7 | 584 |
| 150 | 104.004217 | 14.059293 | 3.9 ± 0.4 | 199 ± 3 | 1832 |
| 151 | 104.007753 | 13.895467 | 3.0 ± 0.6 | 228 ± 5 | 393 |
| 152 | 104.008566 | 14.116192 | 4.4 ± 0.2 | 193 ± 2 | 1413 |
| 153 | 104.011561 | 13.846133 | 1.5 ± 0.3 | 221 ± 6 | 1639 |
| 154 | 104.012635 | 14.040984 | 2.3 ± 0.5 | 203 ± 6 | 1071 |
| 155 | 104.013781 | 13.855258 | 1.9 ± 0.1 | 225 ± 2 | 2763 |
| 156 | 104.017669 | 14.484564 | 1.4 ± 0.2 | 172 ± 4 | 572 |
| 157 | 104.022255 | 14.231824 | 1.9 ± 0.5 | 159 ± 7 | 1303 |
| 158 | 104.040345 | 14.029867 | 3.3 ± 0.2 | 210 ± 2 | 484 |
| 159 | 104.040420 | 13.856945 | 2.7 ± 0.9 | 219 ± 9 | 1404 |
| 160 | 104.041785 | 13.895636 | 4.7 ± 0.5 | 227 ± 3 | 441 |
| 161 | 104.042081 | 13.844076 | 2.7 ± 0.8 | 230 ± 8 | 978 |
| 162 | 104.043729 | 14.115608 | 4.3 ± 0.3 | 204 ± 2 | 1105 |
| 163 | 104.049324 | 13.862234 | 2.3 ± 0.4 | 225 ± 5 | 734 |
| 164 | 104.052854 | 13.842180 | 2.8 ± 0.2 | 223 ± 2 | 831 |
| 165 | 104.061791 | 14.012051 | 2.2 ± 0.2 | 199 ± 2 | 782 |
| 166 | 104.061949 | 13.859067 | 4.2 ± 0.3 | 216 ± 2 | 4179 |
| 167 | 104.068255 | 14.095157 | 2.3 ± 0.3 | 194 ± 4 | 2883 |
| 168 | 104.077033 | 13.878035 | 2.1 ± 0.6 | 221 ± 8 | 654 |
| 169 | 104.081708 | 13.949807 | 3.1 ± 0.5 | 209 ± 4 | 1483 |
| 170 | 104.085362 | 13.965820 | 3.0 ± 0.7 | 204 ± 6 | 1569 |
| 171 | 104.095605 | 14.007224 | 4.0 ± 0.5 | 213 ± 3 | 936 |
| 172 | 104.097804 | 13.977882 | 2.8 ± 0.3 | 212 ± 3 | 4534 |
| 173 | 104.100318 | 13.922871 | 2.1 ± 0.4 | 215 ± 5 | 1410 |
| 174 | 104.102274 | 14.013854 | 3.5 ± 0.4 | 200 ± 3 | 1102 |
| 175 | 104.104955 | 13.879472 | 2.7 ± 0.9 | 225 ± 9 | 509 |
| 176 | 104.105705 | 13.906279 | 3.7 ± 0.4 | 228 ± 3 | 1721 |
| 177 | 104.114463 | 13.968833 | 1.5 ± 0.5 | 222 ± 7 | 1341 |
| 178 | 104.117886 | 13.985771 | 2.7 ± 0.4 | 211 ± 4 | 7276 |
| 179 | 104.128116 | 14.231034 | 1.9 ± 0.4 | 157 ± 6 | 727 |
| 180 | 104.133295 | 13.852779 | 1.8 ± 0.3 | 60 ± 4 | 1025 |
| 181 | 104.133852 | 14.389952 | 2.1 ± 0.3 | 177 ± 4 | 2857 |
| 182 | 104.141667 | 13.932187 | 3.3 ± 0.6 | 207 ± 5 | 1080 |
| 183 | 104.146638 | 14.520769 | 1.1 ± 0.3 | 203 ± 8 | 3023 |
| 184 | 104.159392 | 14.566307 | 0.8 ± 0.1 | 165 ± 4 | 524 |
| 185 | 104.159795 | 13.895103 | 1.5 ± 0.3 | 205 ± 5 | 1230 |
| 186 | 104.166900 | 14.377326 | 1.2 ± 0.4 | 171 ± 8 | 619 |
| 187 | 104.174435 | 13.912937 | 1.4 ± 0.3 | 208 ± 6 | 6703 |
| 188 | 104.177145 | 14.519745 | 2.1 ± 0.4 | 166 ± 5 | 8969 |
| 189 | 104.180551 | 14.510612 | 0.8 ± 0.3 | 185 ± 8 | 1245 |
| 190 | 104.184877 | 14.463091 | 1.8 ± 0.2 | 179 ± 3 | 836 |
| 191 | 104.189132 | 13.884124 | 2.4 ± 0.7 | 228 ± 8 | 1019 |
| 192 | 104.190082 | 13.877895 | 1.6 ± 0.1 | 199 ± 1 | 2603 |
| 193 | 104.190936 | 13.956342 | 1.4 ± 0.2 | 218 ± 4 | 1899 |
| 194 | 104.196741 | 14.515530 | 1.5 ± 0.5 | 183 ± 7 | 3476 |
| 195 | 104.201883 | 14.420479 | 2.0 ± 0.2 | 172 ± 3 | 2426 |
| 196 | 104.203426 | 14.389243 | 0.8 ± 0.1 | 180 ± 4 | 318 |
| 197 | 104.205921 | 13.888406 | 1.1 ± 0.3 | 202 ± 6 | 818 |
| 198 | 104.206816 | 14.410361 | 2.3 ± 0.7 | 166 ± 8 | 4192 |
| 199 | 104.210431 | 14.400087 | 0.7 ± 0.2 | 186 ± 6 | 306 |
| 200 | 104.217190 | 14.287866 | 1.7 ± 0.5 | 52 ± 7 | 793 |
| 201 | 104.222302 | 13.960593 | 1.2 ± 0.2 | 223 ± 3 | 957 |
| 202 | 104.229025 | 13.979337 | 1.0 ± 0.3 | 208 ± 7 | 473 |
| 203 | 104.236310 | 13.952170 | 2.4 ± 0.7 | 217 ± 8 | 2034 |
| 204 | 104.237648 | 14.540158 | 1.2 ± 0.2 | 163 ± 5 | 596 |
| 205 | 104.242881 | 14.500877 | 2.1 ± 0.7 | 158 ± 8 | 393 |
| 206 | 104.259147 | 14.495868 | 1.3 ± 0.3 | 168 ± 6 | 1368 |
| 207 | 104.267690 | 13.917088 | 1.1 ± 0.2 | 196 ± 6 | 1366 |
| 208 | 104.270189 | 14.494670 | 1.4 ± 0.2 | 180 ± 4 | 646 |
| 209 | 104.271671 | 14.537384 | 1.3 ± 0.2 | 166 ± 3 | 1937 |
| 210 | 104.272463 | 14.479830 | 2.4 ± 0.6 | 182 ± 7 | 462 |
| 211 | 104.274425 | 13.991687 | 2.3 ± 0.5 | 215 ± 6 | 2817 |
| 212 | 104.277089 | 14.354539 | 5.3 ± 0.6 | 185 ± 3 | 2245 |
| 213 | 104.277266 | 14.450763 | 1.0 ± 0.2 | 186 ± 4 | 758 |
| 214 | 104.278619 | 14.449882 | 1.1 ± 0.1 | 185 ± 2 | 3125 |
| 215 | 104.325274 | 14.085256 | 4.2 ± 0.1 | 219 ± 1 | 1902 |
| 216 | 104.325527 | 14.320067 | 3.8 ± 0.6 | 190 ± 5 | 7381 |
| 217 | 104.326000 | 14.281308 | 1.8 ± 0.1 | 213 ± 1 | 725 |
| 218 | 104.327117 | 14.135960 | 2.4 ± 0.6 | 210 ± 6 | 3112 |
| 219 | 104.332801 | 14.304419 | 2.1 ± 0.5 | 200 ± 7 | 2125 |
| 220 | 104.334197 | 14.356322 | 2.7 ± 0.2 | 205 ± 2 | 1205 |
| 221 | 104.337399 | 14.017642 | 1.8 ± 0.2 | 212 ± 3 | 1622 |
| 222 | 104.342139 | 14.143725 | 4.3 ± 0.4 | 203 ± 3 | 1341 |
| 223 | 104.347367 | 14.418693 | 2.6 ± 0.7 | 178 ± 7 | 825 |
| 224 | 104.348908 | 14.424935 | 1.3 ± 0.3 | 172 ± 5 | 1049 |
| 225 | 104.350080 | 14.363166 | 1.7 ± 0.1 | 205 ± 1 | 1778 |
| 226 | 104.351013 | 14.165030 | 2.3 ± 0.1 | 204 ± 1 | 2633 |
| 227 | 104.355040 | 14.404310 | 2.8 ± 1.0 | 188 ± 9 | 5245 |
| 228 | 104.356073 | 14.301893 | 1.8 ± 0.5 | 204 ± 7 | 1307 |
| 229 | 104.358815 | 14.413296 | 2.8 ± 0.5 | 178 ± 5 | 1058 |
| 230 | 104.359251 | 13.983480 | 1.3 ± 0.3 | 219 ± 6 | 991 |
| 231 | 104.362494 | 14.132594 | 2.3 ± 0.6 | 227 ± 6 | 1516 |
| 232 | 104.369866 | 14.251045 | 3.8 ± 0.4 | 197 ± 3 | 2546 |
| 233 | 104.371279 | 14.155014 | 3.4 ± 0.5 | 198 ± 4 | 949 |
| 234 | 104.371715 | 14.402114 | 2.0 ± 0.5 | 199 ± 6 | 1246 |
| 235 | 104.374637 | 14.199342 | 1.6 ± 0.2 | 220 ± 4 | 1093 |
| 236 | 104.374790 | 14.115005 | 2.1 ± 0.1 | 218 ± 2 | 1744 |
| 237 | 104.375014 | 14.189853 | 2.5 ± 0.4 | 207 ± 4 | 705 |
| 238 | 104.377829 | 14.145469 | 3.9 ± 0.4 | 218 ± 3 | 1165 |
| 239 | 104.385528 | 14.097980 | 1.1 ± 0.3 | 222 ± 8 | 2378 |
| 240 | 104.390020 | 14.071041 | 1.1 ± 0.1 | 213 ± 3 | 940 |
| 241 | 104.392257 | 14.247356 | 2.6 ± 0.4 | 200 ± 4 | 3063 |
| 242 | 104.395140 | 14.329504 | 3.4 ± 0.6 | 187 ± 4 | 1274 |
| 243 | 104.404037 | 14.248927 | 3.0 ± 0.3 | 205 ± 3 | 2251 |
| 244 | 104.405975 | 14.334530 | 2.7 ± 0.6 | 206 ± 6 | 1076 |
| 245 | 104.408042 | 14.326883 | 2.1 ± 0.6 | 190 ± 7 | 1306 |
| 246 | 104.414166 | 14.191229 | 1.3 ± 0.2 | 204 ± 4 | 888 |
| 247 | 104.416347 | 14.309724 | 2.5 ± 0.8 | 203 ± 8 | 1184 |
| 248 | 104.424996 | 14.165882 | 2.0 ± 0.4 | 188 ± 6 | 2279 |
| 249 | 104.430929 | 14.299678 | 3.5 ± 0.7 | 206 ± 6 | 2141 |
Current usage metrics show cumulative count of Article Views (full-text article views including HTML views, PDF and ePub downloads, according to the available data) and Abstracts Views on Vision4Press platform.
Data correspond to usage on the plateform after 2015. The current usage metrics is available 48-96 hours after online publication and is updated daily on week days.
Initial download of the metrics may take a while.