Open Access

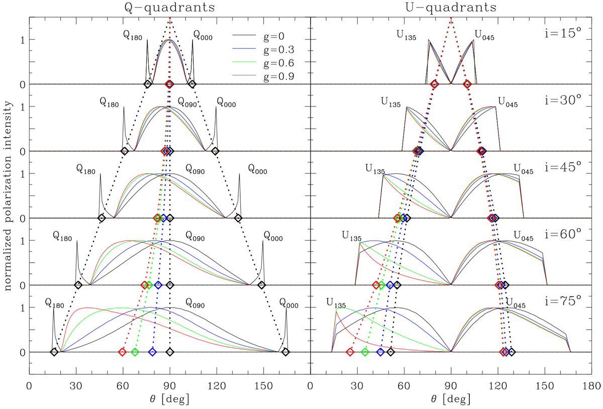
Fig. 14

image

Download original image

Angular distribution of the polarized intensity in the polarization quadrants for i = 15°, 30°, 45°, 60° and 75° and differentasymmetry parameter g (colors). For quadrants Q000 and Q180 only the caseg = 0 is shown, because differences for other g-parameters are very small. The distributions are normalized for each quadrant individually. For the quadrants Q000, U045, and U135, the median angles θmed (diamonds) for large g-values increase with inclination as illustrated with the dotted lines.

Current usage metrics show cumulative count of Article Views (full-text article views including HTML views, PDF and ePub downloads, according to the available data) and Abstracts Views on Vision4Press platform.

Data correspond to usage on the plateform after 2015. The current usage metrics is available 48-96 hours after online publication and is updated daily on week days.

Initial download of the metrics may take a while.