Open Access

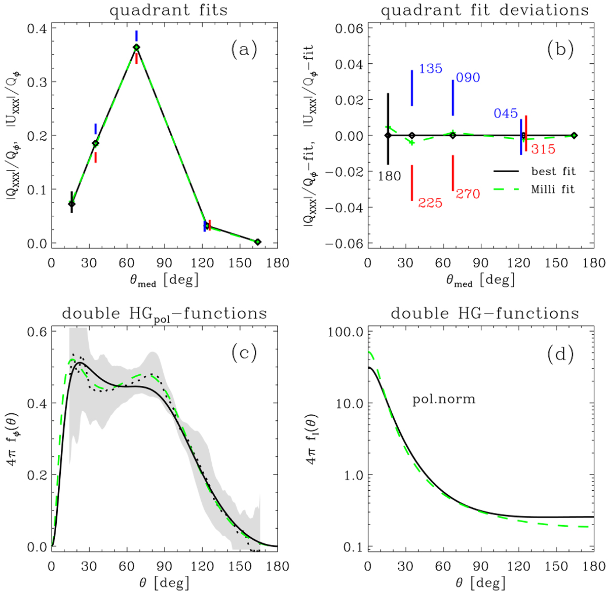
Fig. 17

image

Download original image

Same as Fig. 16 but for the best-fitting double HGpol scattering phase function for i = 75° and the function obtained by Milli et al. (2019) (dashed green lines): (a) calculated and measured relative quadrant values; (b) deviations of obtained values from the best-fitting solution; (c) double HGpol phase function for the fits and the directly extracted curve from Milli et al. (2019) (dotted line and gray uncertainty range); (d) corresponding intensity phase functions.

Current usage metrics show cumulative count of Article Views (full-text article views including HTML views, PDF and ePub downloads, according to the available data) and Abstracts Views on Vision4Press platform.

Data correspond to usage on the plateform after 2015. The current usage metrics is available 48-96 hours after online publication and is updated daily on week days.

Initial download of the metrics may take a while.