Open Access

Fig. 3

image

Download original image

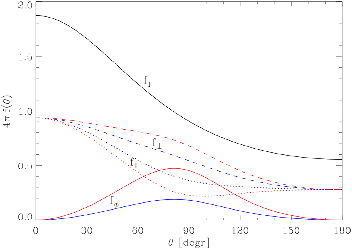
Scattering phase functions for the HG asymmetry parameter g = 0.2 for the total intensity 4π fI(θ) (black), for the polarized intensities 4π f(θ) (dashed) and 4π f(θ) (dotted), for the two values pmax = 0.5 (red) and 0.2 (blue), and the corresponding scattering phase functions for the polarized flux 4π fϕ (θ) (full, colored lines).

Current usage metrics show cumulative count of Article Views (full-text article views including HTML views, PDF and ePub downloads, according to the available data) and Abstracts Views on Vision4Press platform.

Data correspond to usage on the plateform after 2015. The current usage metrics is available 48-96 hours after online publication and is updated daily on week days.

Initial download of the metrics may take a while.