Open Access

Fig. 6

image

Download original image

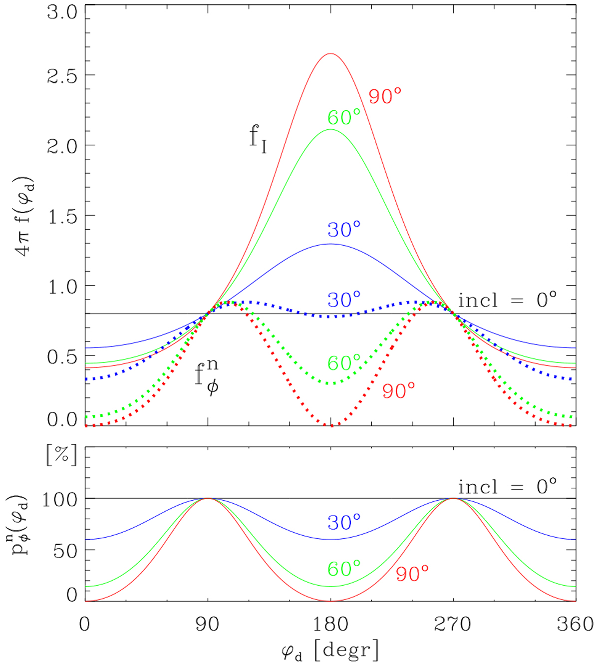
Upper panel: azimuthal dependence of the disk scattering phase function for the intensity 4π fI (φd, i, g) and the normalized (pmax = 1) polarized intensity for disks with scattering asymmetry parameter g = 0.3 and inclinations i = 0°,  30°,  60°, and 90°. Lower panel:normalized fractional polarization for the same inclinations; does not depend on the g-parameters.

Current usage metrics show cumulative count of Article Views (full-text article views including HTML views, PDF and ePub downloads, according to the available data) and Abstracts Views on Vision4Press platform.

Data correspond to usage on the plateform after 2015. The current usage metrics is available 48-96 hours after online publication and is updated daily on week days.

Initial download of the metrics may take a while.