Free Access

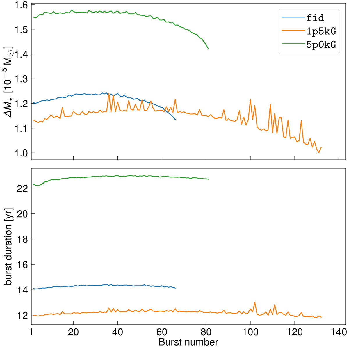
Fig. 14.

image

Download original image

Time evolution of the outbursting behavior of the disk, shown for all consecutive bursts during disk evolution. Panel a: mass accretion onto the protostar during an outburst ΔM, whereas panel b: burst duration for a certain burst.

Current usage metrics show cumulative count of Article Views (full-text article views including HTML views, PDF and ePub downloads, according to the available data) and Abstracts Views on Vision4Press platform.

Data correspond to usage on the plateform after 2015. The current usage metrics is available 48-96 hours after online publication and is updated daily on week days.

Initial download of the metrics may take a while.