Free Access

Fig. 2.

image

Download original image

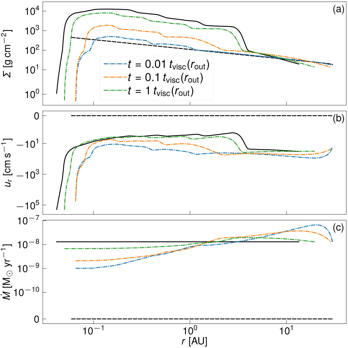
Snapshots in time, which show the convergence towards a stationary initial model for (a) the surface density Σ(r), (b) the radial velocity ur(r), and (c) the mass transport rate . The black dashed line shows the initial Keplerian disk, and the black solid line denotes the final stationary model.

Current usage metrics show cumulative count of Article Views (full-text article views including HTML views, PDF and ePub downloads, according to the available data) and Abstracts Views on Vision4Press platform.

Data correspond to usage on the plateform after 2015. The current usage metrics is available 48-96 hours after online publication and is updated daily on week days.

Initial download of the metrics may take a while.