Free Access

Fig. 8.

image

Download original image

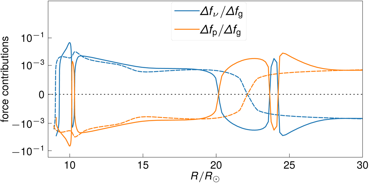
Net contributions of pressure Δfp and viscous force Δfν on an disk annulus are shown for the inner disk. The forces are in units of the net gravitational force Δfg at its corresponding radius. The dashed lines outline the various force contributions for the stationary initial model. The dotted horizontal line shall help to visualize where the force contributions change sign.

Current usage metrics show cumulative count of Article Views (full-text article views including HTML views, PDF and ePub downloads, according to the available data) and Abstracts Views on Vision4Press platform.

Data correspond to usage on the plateform after 2015. The current usage metrics is available 48-96 hours after online publication and is updated daily on week days.

Initial download of the metrics may take a while.