Free Access

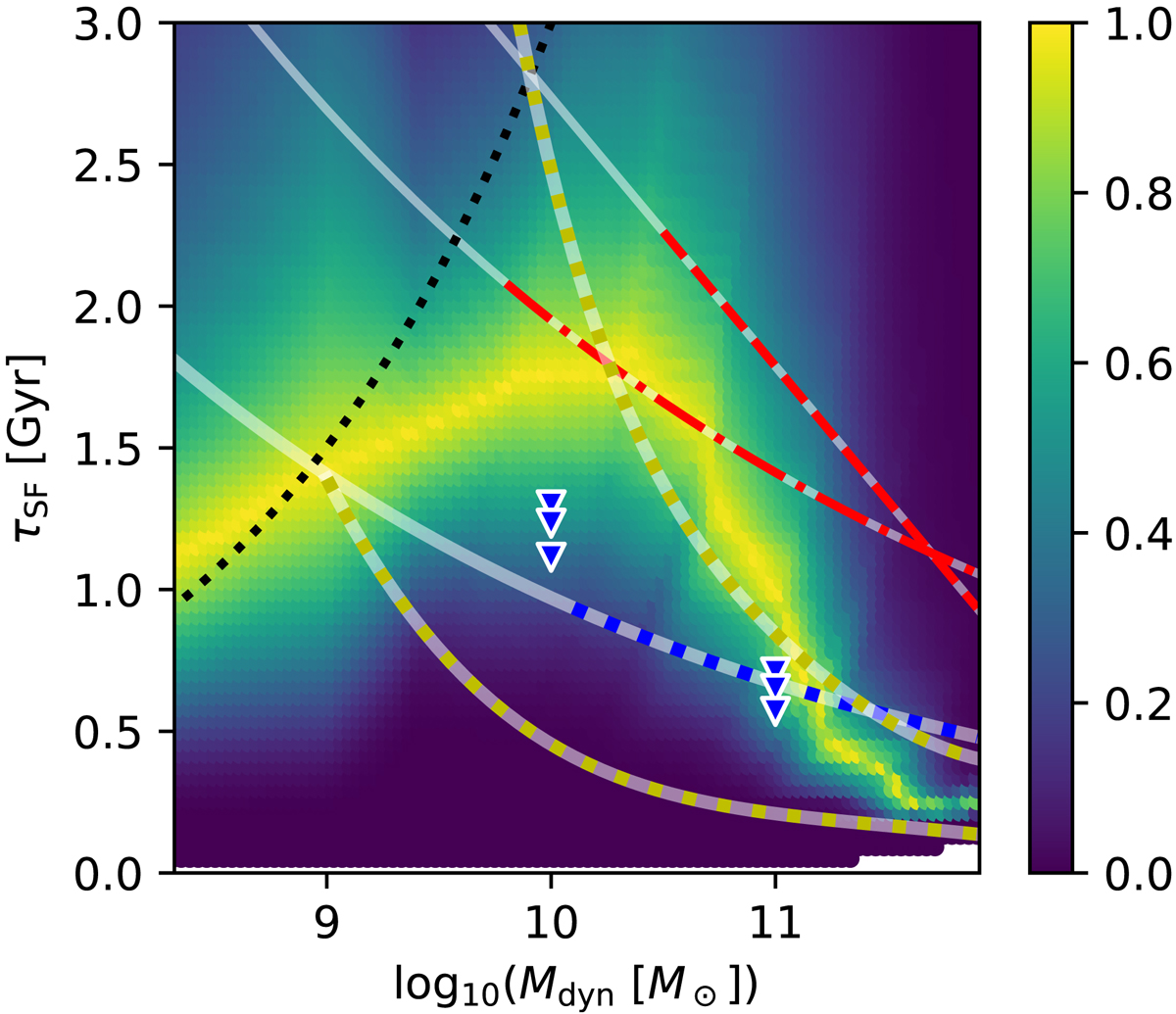
Fig. B.1.

image

Download original image

τSF as a function of Mdyn for the power-law function model. Same as Fig. 4, but the results shown by the colour map adopt the power-law κIa relation shown in Fig. 5.

Current usage metrics show cumulative count of Article Views (full-text article views including HTML views, PDF and ePub downloads, according to the available data) and Abstracts Views on Vision4Press platform.

Data correspond to usage on the plateform after 2015. The current usage metrics is available 48-96 hours after online publication and is updated daily on week days.

Initial download of the metrics may take a while.