Free Access

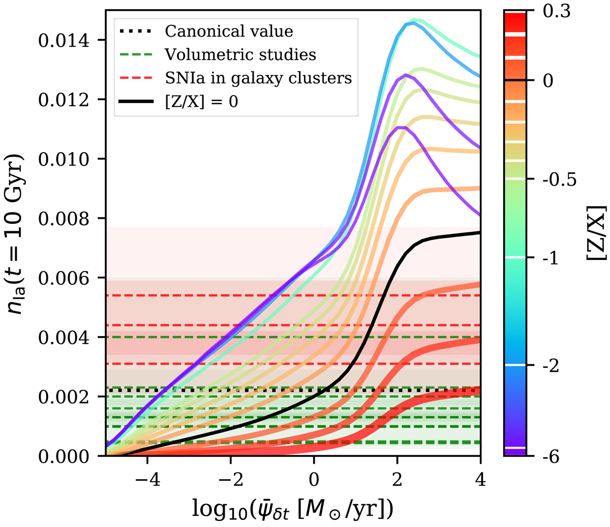
Fig. 6.

image

Download original image

Ten Gyr time-integrated number of SNIa per unit of stellar mass formed for the error function model. Same as Fig. 2, but here the calculation assumes the variable κIa relation defined by Eq. (21) and is shown by the solid curve in Fig. 5 instead of a constant overall SNIa realisation parameter (dotted line in Fig. 5).

Current usage metrics show cumulative count of Article Views (full-text article views including HTML views, PDF and ePub downloads, according to the available data) and Abstracts Views on Vision4Press platform.

Data correspond to usage on the plateform after 2015. The current usage metrics is available 48-96 hours after online publication and is updated daily on week days.

Initial download of the metrics may take a while.