Free Access

Fig. 9.

image

Download original image

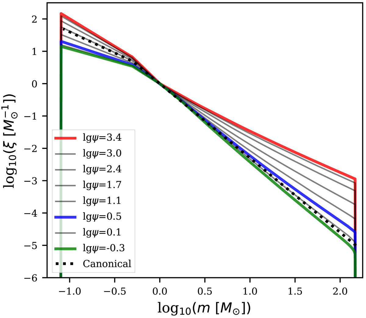
gwIMFs, defined in Eq. (12), for the best-fit galaxies of our error function model (Eq. (21)) with masses log10(Mdyn/M) = 8.5, 9.0, 9.5, …, 11.5, and 11.9 from the bottom to the top line. The galaxies with log10(Mdyn/M) = 8.5, 9.5, and 11.9 are highlighted in the green, blue, and red, respectively. The galactic SFRs () of these models are given by the legend in units of M/yr. The red gwIMF has an approximated α3 of about 1.2 although the top part of the IGIMF no longer preserves a power-law form.

Current usage metrics show cumulative count of Article Views (full-text article views including HTML views, PDF and ePub downloads, according to the available data) and Abstracts Views on Vision4Press platform.

Data correspond to usage on the plateform after 2015. The current usage metrics is available 48-96 hours after online publication and is updated daily on week days.

Initial download of the metrics may take a while.