Free Access

Fig. 12.

image

Download original image

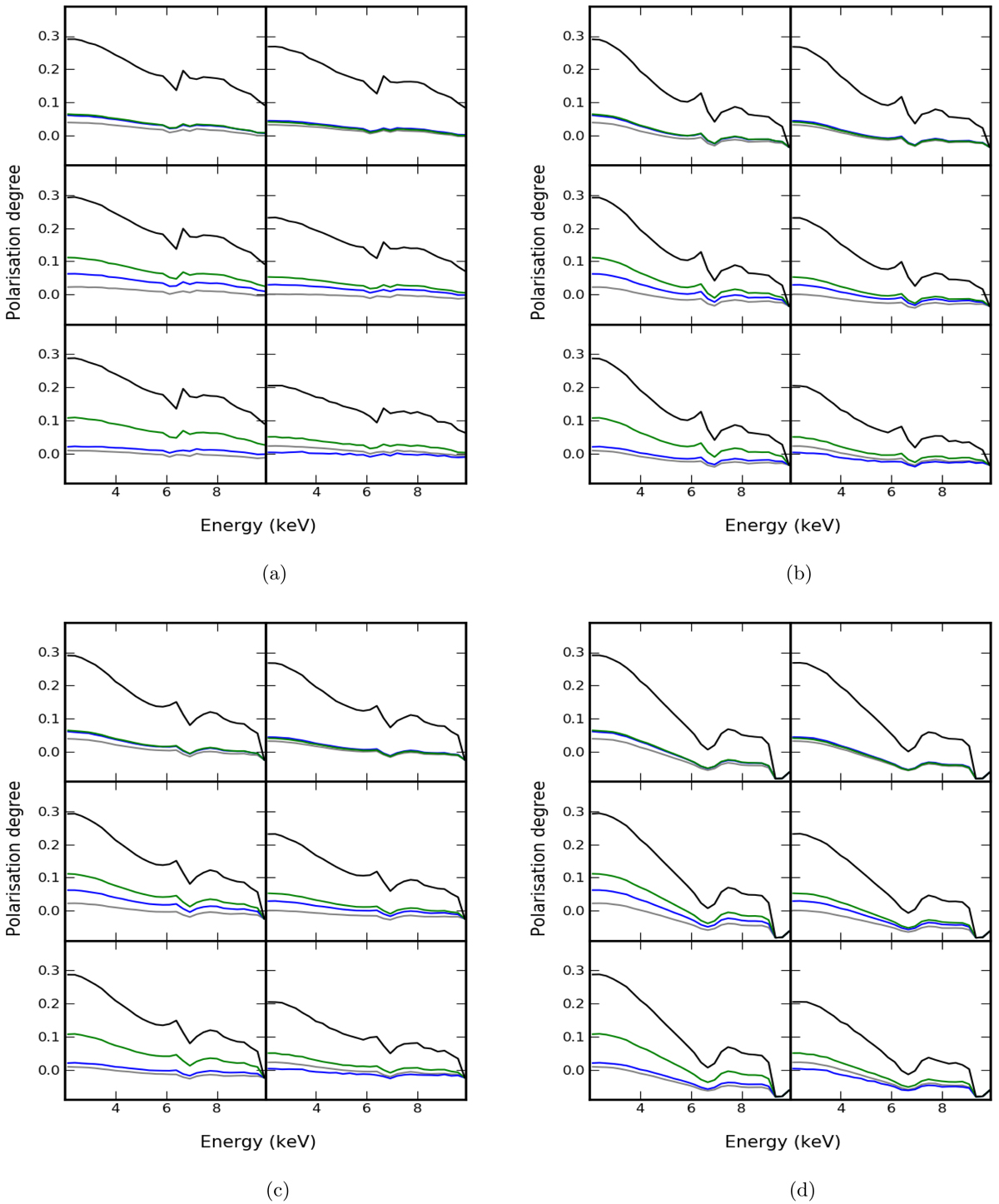
Polarisation degree as a function of energy for GRS 1915+105 for different flux levels. Panels a–d: represent flux 1, flux 2, flux 3, and flux 4, respectively, as outlined in section 3. In each of the plots, the left and the right represent R = 0.1 and 0.5, respectively. Top, middle, and bottom: represent NH, refl values of 1, 3, 5 × 1024 cm−2, respectively. The colours grey, blue, green, and black represent opening angles of 30°, 45°, 60° and 75°, respectively.

Current usage metrics show cumulative count of Article Views (full-text article views including HTML views, PDF and ePub downloads, according to the available data) and Abstracts Views on Vision4Press platform.

Data correspond to usage on the plateform after 2015. The current usage metrics is available 48-96 hours after online publication and is updated daily on week days.

Initial download of the metrics may take a while.