Free Access

Fig. 2.

image

Download original image

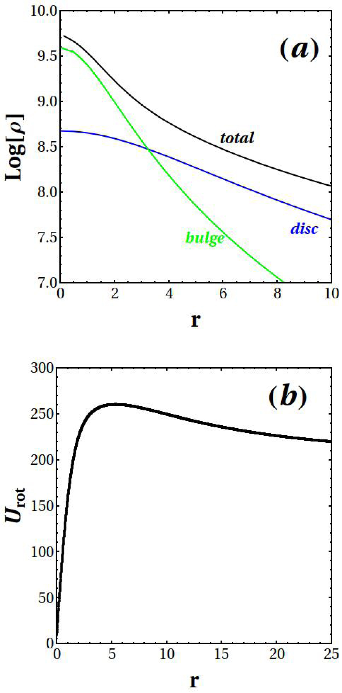
(a) Surface density profile of the axisymmetric part of the model. The green curve represents the bulge, the blue curve represents the disk, and the black curve is the total profile. (b) Rotation velocity curve produced by the axisymmetric potential Vax.

Current usage metrics show cumulative count of Article Views (full-text article views including HTML views, PDF and ePub downloads, according to the available data) and Abstracts Views on Vision4Press platform.

Data correspond to usage on the plateform after 2015. The current usage metrics is available 48-96 hours after online publication and is updated daily on week days.

Initial download of the metrics may take a while.