Free Access

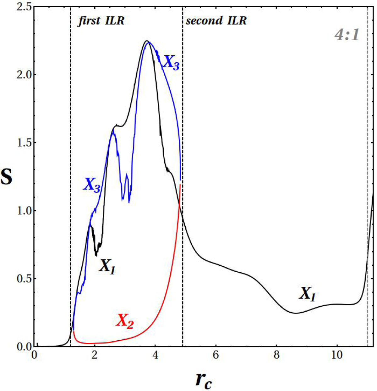
Fig. 6.

image

Download original image

Characteristic curves of the periodic families x1 (black), x2 (red), and x3 (blue) for the model of Eq. (8) with Ωsp = 15 km s−1 kpc−1 and density of the spiral potential ρ0 = 5 × 107 M kpc−3. The dashed black vertical lines correspond to the first and second ILR, and the dashed gray vertical line corresponds to the 4:1 resonance.

Current usage metrics show cumulative count of Article Views (full-text article views including HTML views, PDF and ePub downloads, according to the available data) and Abstracts Views on Vision4Press platform.

Data correspond to usage on the plateform after 2015. The current usage metrics is available 48-96 hours after online publication and is updated daily on week days.

Initial download of the metrics may take a while.