Open Access

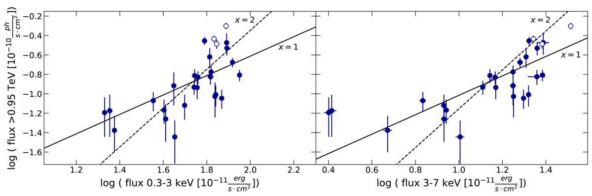
Fig. 10.

image

Download original image

VHE flux versus X-ray flux over the MWL campaign using FACT and Swift-XRT data. Data are nightly binned, and only pairs of measurement within 4 h are considered. FACT fluxes are computed above 0.95 TeV and only measurements with a signal-to-noise ratio > 2 are taken into account. Swift-XRT fluxes are computed in the 0.3–3 keV (left panel) and 3–7 keV bands (right panel). The open blue markers highlight measurements on MJD 57757 and MJD 57785 (i.e., the dates of the first two simultaneous MAGIC/NuSTAR/Swift) and the VHE flare (on MJD 57788). Black lines depict linear functions (in the log-log plane) with slopes x = 1 and x = 2. The Pearson coefficients, DCF and slope are shown in Table 1. The Pearson coefficients, DCF and slopes from linear fits in the log-log plane are shown in Table 2.

Current usage metrics show cumulative count of Article Views (full-text article views including HTML views, PDF and ePub downloads, according to the available data) and Abstracts Views on Vision4Press platform.

Data correspond to usage on the plateform after 2015. The current usage metrics is available 48-96 hours after online publication and is updated daily on week days.

Initial download of the metrics may take a while.