Open Access

Fig. 5

image

Download original image

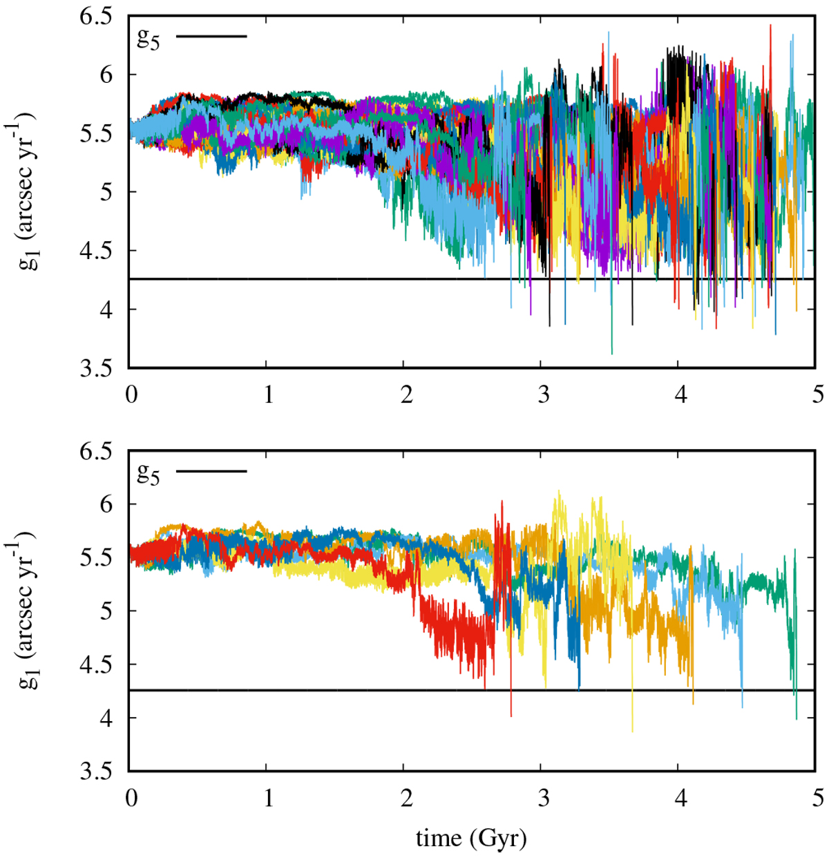
Evolution of the fundamental frequency g1, as defined by Eq. (56), in the 42 collisional orbital solutions (top panel). Six solutions are isolated in the bottom panel. The horizontal line stands for the constant fundamental frequency g5.

Current usage metrics show cumulative count of Article Views (full-text article views including HTML views, PDF and ePub downloads, according to the available data) and Abstracts Views on Vision4Press platform.

Data correspond to usage on the plateform after 2015. The current usage metrics is available 48-96 hours after online publication and is updated daily on week days.

Initial download of the metrics may take a while.