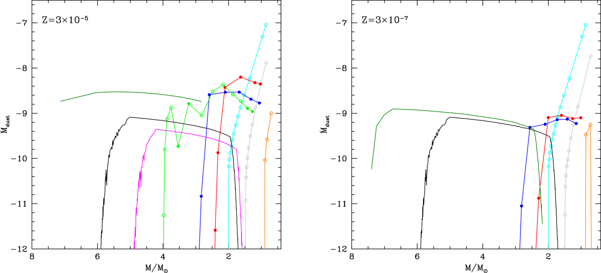
Fig. 11.

Download original image
Variation in dust production rate as a function of the (current) mass of the star for some of the model stars discussed in Fig. 4 for a metallicity Z = 3 × 10−5 (left panel) and Z = 3 × 10−7 (right panel). The colour-coding is the same as in Fig. 4. Full points correspond to silicate dust, and open points indicate carbonaceous dust.
Current usage metrics show cumulative count of Article Views (full-text article views including HTML views, PDF and ePub downloads, according to the available data) and Abstracts Views on Vision4Press platform.
Data correspond to usage on the plateform after 2015. The current usage metrics is available 48-96 hours after online publication and is updated daily on week days.
Initial download of the metrics may take a while.