Fig. 12.

Download original image
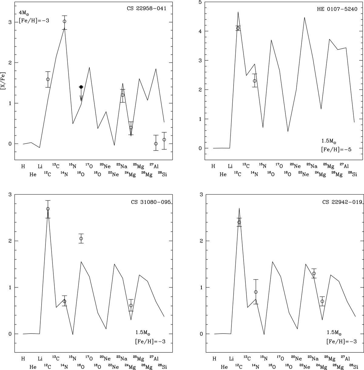
Solid curves: abundance patterns predicted at the surface of unevolved low-mass stars, obtained by mixing 1% of the matter ejected by AGB models with 0.2 M⊙ of their envelopes. The AGB models are identified by their initial mass and metallicity, as reported in the bottom right and top left corner of each panel. The circles show the abundances measured in extremely metal-poor stars selected from the SAGA database (see the top right label in each plot).
Current usage metrics show cumulative count of Article Views (full-text article views including HTML views, PDF and ePub downloads, according to the available data) and Abstracts Views on Vision4Press platform.
Data correspond to usage on the plateform after 2015. The current usage metrics is available 48-96 hours after online publication and is updated daily on week days.
Initial download of the metrics may take a while.