Fig. 4.

Download original image
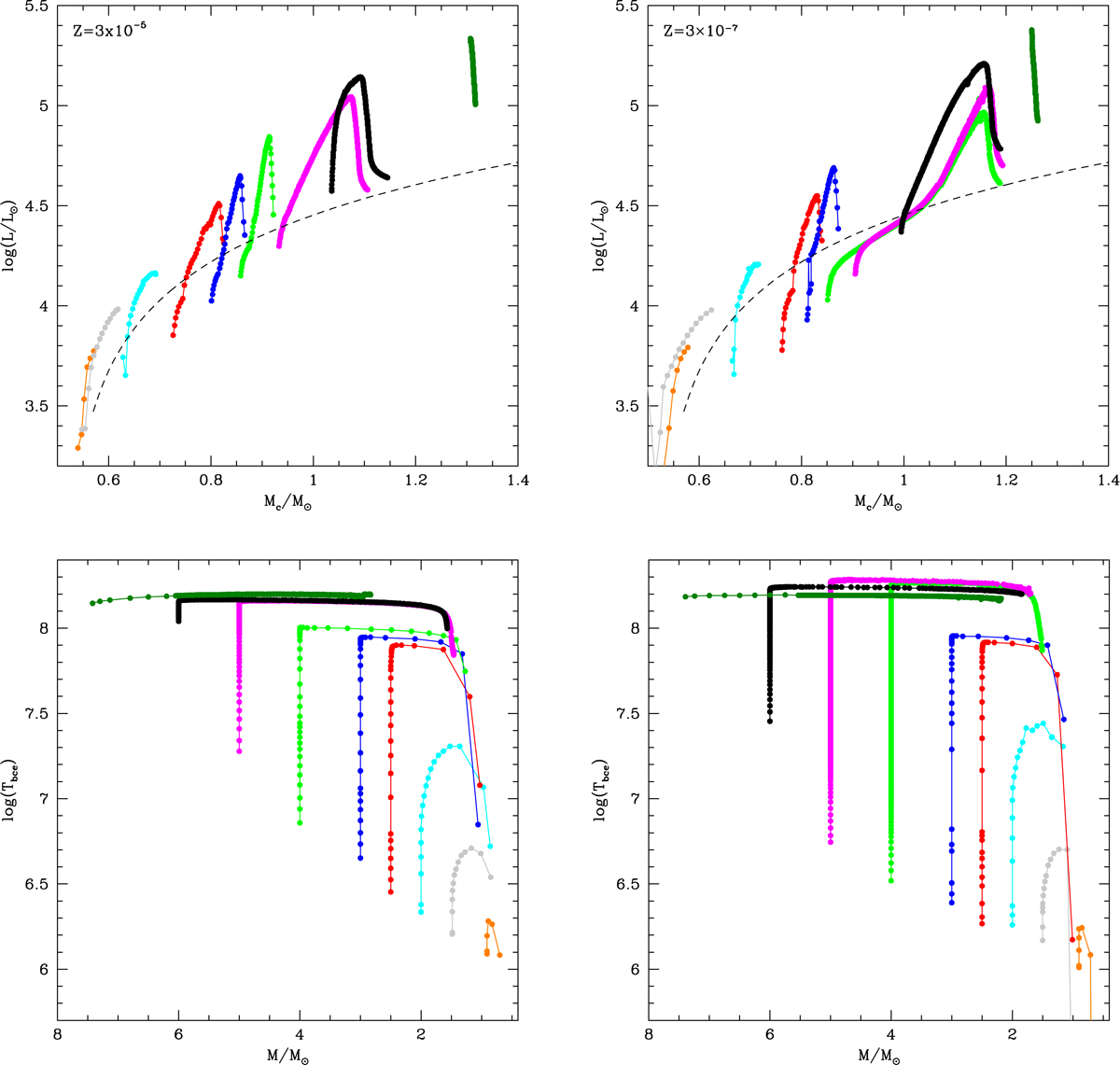
Variation in luminosity of the model stars of metallicity Z = 3 × 10−5 (top left) and Z = 3 × 10−7 (top right) as a funnction of the core mass. The different lines refer to stars with an intial mass 1 M⊙ (orange), 1.5 M⊙ (grey), 2 M⊙ (cyan) 2.5 M⊙ (red), 3 M⊙ (blue), 4 M⊙ (light green), 5 M⊙ (magenta), 6 M⊙ (black), and 7.5 M⊙ (dark green). The dashed lines indicate the core mass – luminosity relation by Paczyński (1970). The bottom panels report the evolution of the temperature at the bottom of the convective envelope of the same model stars as shown in the top panels as a function of the current mass of the star.
Current usage metrics show cumulative count of Article Views (full-text article views including HTML views, PDF and ePub downloads, according to the available data) and Abstracts Views on Vision4Press platform.
Data correspond to usage on the plateform after 2015. The current usage metrics is available 48-96 hours after online publication and is updated daily on week days.
Initial download of the metrics may take a while.