Free Access

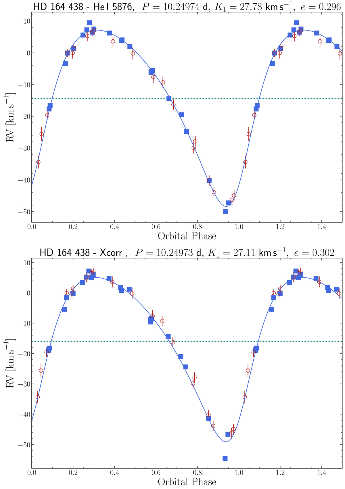
Fig. 1.

image

Download original image

Orbital solutions for HD 164 438 obtained only with MONOS data. Upper panel: new orbital solution for HD 164 438 obtained from our RV measurements of the He I λ5876 line using a Gaussian fit. The orbital solution was obtained using the SBOP code. Lower panel: orbital solution using our x-corr RV measurements. The RVs determined by Mayer et al. (2017) (red circle) are shifted by 6.5 km s−1 to bring them to our velocity rest frame. MONOS RVs are shown with the navy square symbols. The dotted blue line shows the γ of the system.

Current usage metrics show cumulative count of Article Views (full-text article views including HTML views, PDF and ePub downloads, according to the available data) and Abstracts Views on Vision4Press platform.

Data correspond to usage on the plateform after 2015. The current usage metrics is available 48-96 hours after online publication and is updated daily on week days.

Initial download of the metrics may take a while.