Free Access

Fig. 2.

image

Download original image

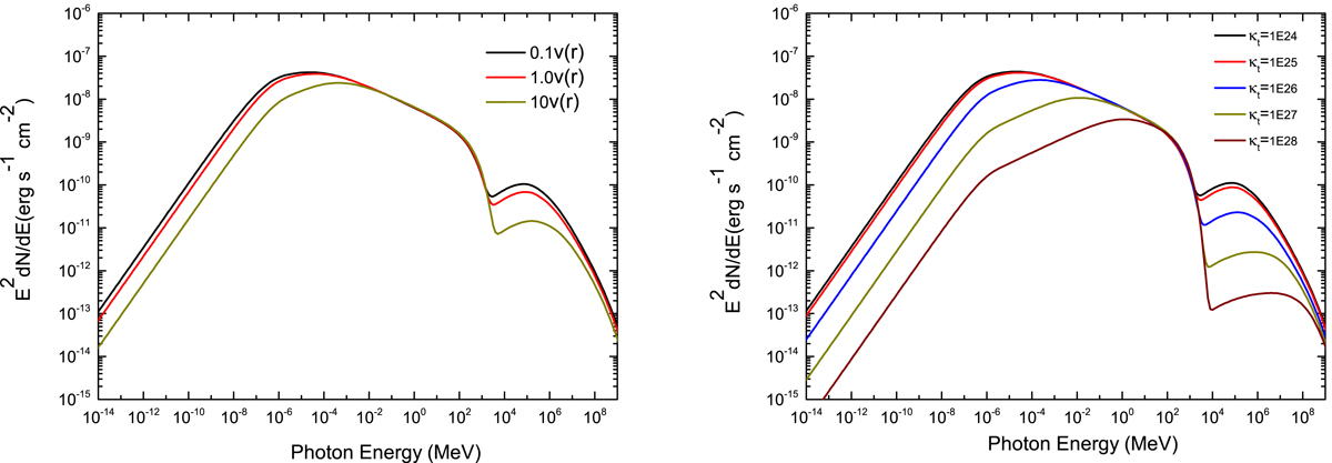
Spectral energy distributions of the PWN for the different advection velocities with κ(tini) = 1.0 × 1021 cm2 s−1 and δ = 1/3 (left panel), and the different diffusion coefficients with advection velocity V(r) (right panel). The PWN age is assumed to be 1000 yr, and other model parameters are the same as those in Fig. 1.

Current usage metrics show cumulative count of Article Views (full-text article views including HTML views, PDF and ePub downloads, according to the available data) and Abstracts Views on Vision4Press platform.

Data correspond to usage on the plateform after 2015. The current usage metrics is available 48-96 hours after online publication and is updated daily on week days.

Initial download of the metrics may take a while.