Open Access

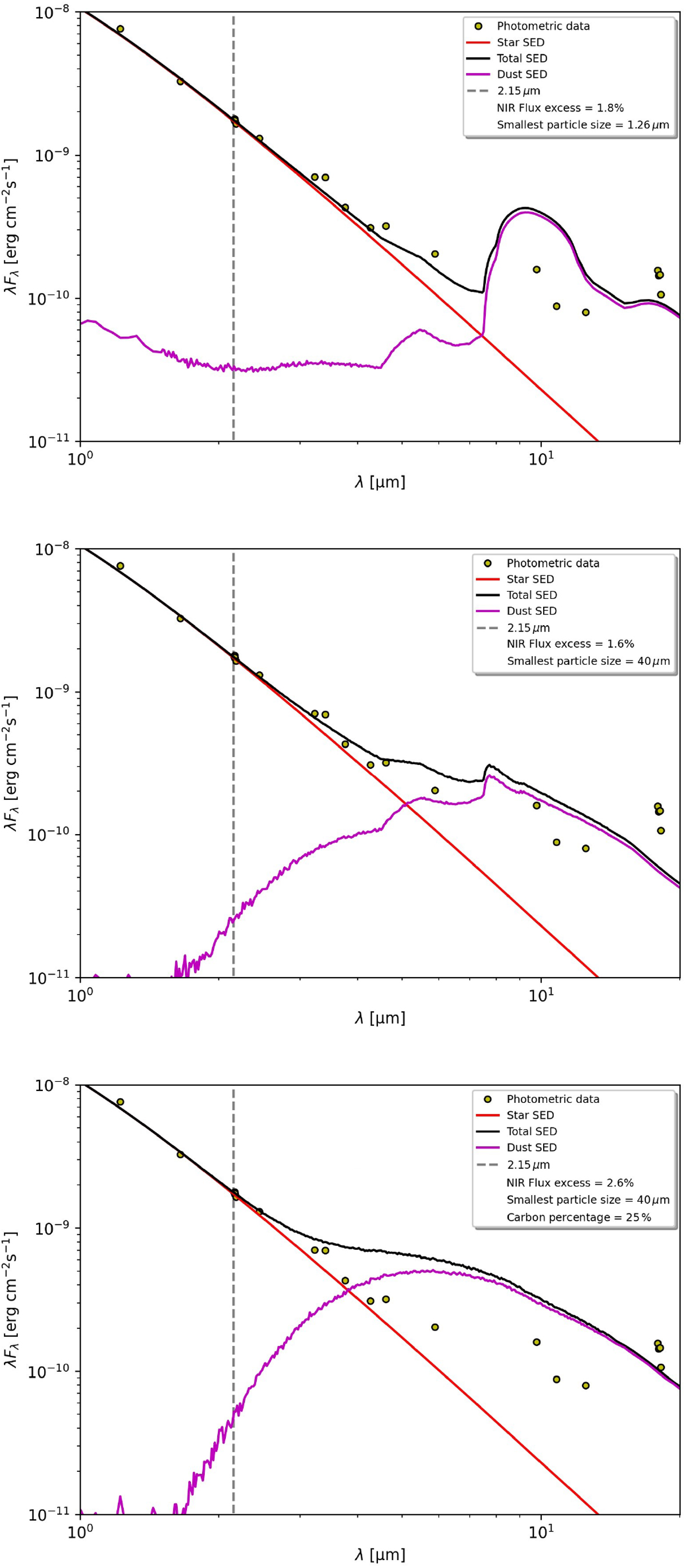
Fig. E.1

image

Download original image

MCMax models that account for the emission of the star and only the first innermost silicate ring located at 0.8 au and 0.04 au in width. The models differ for the particle size lower limit, dust mass, and carbon percentage. The top plot model accounts for a dust mass of 10−5 M and no carbon; the center plot model accounts for a mass of 1.17 × 10−4 M and no carbon; the bottom plot model accounts for a mass of 3.33 × 10−4 M and 25 % carbon.

Current usage metrics show cumulative count of Article Views (full-text article views including HTML views, PDF and ePub downloads, according to the available data) and Abstracts Views on Vision4Press platform.

Data correspond to usage on the plateform after 2015. The current usage metrics is available 48-96 hours after online publication and is updated daily on week days.

Initial download of the metrics may take a while.