Open Access

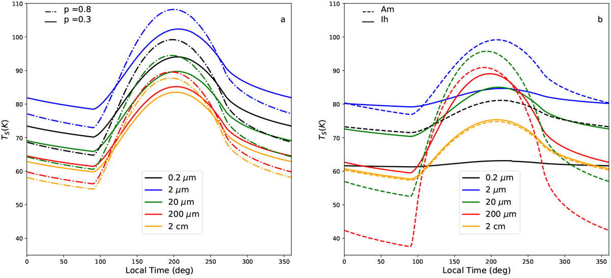
Fig. 4

image

Download original image

Thermal cycles of a surface element located at the center of the leading hemisphere of Dione. The bolometric Bond albedo A is assumed 0.63 (Pitman et al. 2010). (a) The thermal conductivity is constant kE0 = 0.001 W m−1 K−1 and the grain size, R, varies between 0.2 μm and 2 cm, assuming a porosity of p = 0.3 (solid line) or 0.8 (dash-dot line). The ice phase is amorphous. The resulting thermal inertia range between 10 and 20 MKS. (b) Both radiative and solid conductions through loose contacts are assumed here. The grain size, R, varies between 0.2 μm and 2 cm and the ice phase is either crystalline (Ih, solid line) or amorphous (Am, dash line) ice phase. The porosity is p = 0.5.

Current usage metrics show cumulative count of Article Views (full-text article views including HTML views, PDF and ePub downloads, according to the available data) and Abstracts Views on Vision4Press platform.

Data correspond to usage on the plateform after 2015. The current usage metrics is available 48-96 hours after online publication and is updated daily on week days.

Initial download of the metrics may take a while.