Open Access

Fig. 5

image

Download original image

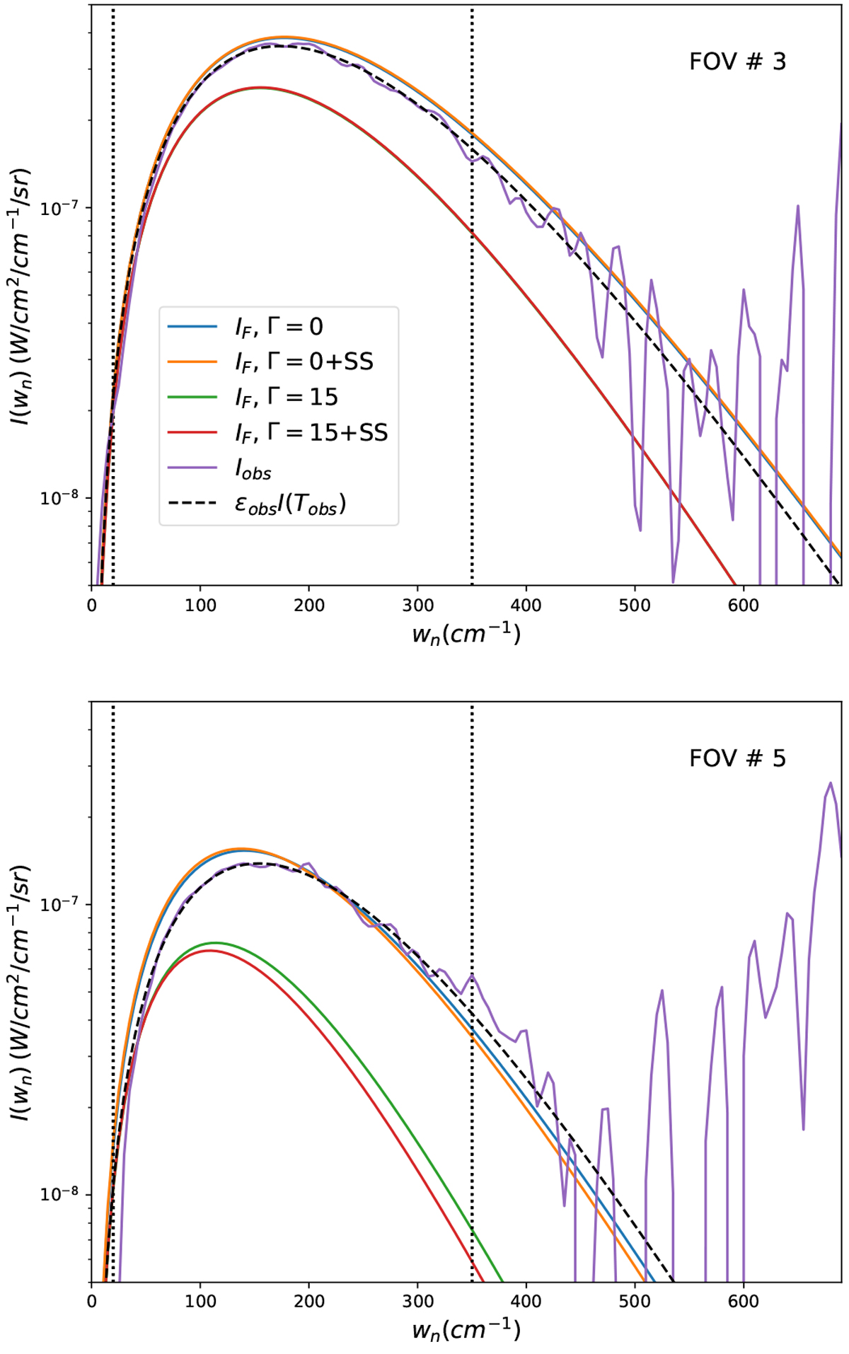
Observed Iobs, fitted εobsI(Tobs) and modelled spectra IF for footprints sampled during the FP1 observation CIRS_222DI_DIONE001_PIE (see Figs. 6, 7). The modelled spectra are calculated for amorphous ice with grain size, R = 2 mm, and regolith properties A = 0.63, p = 0.5, and KE0 = 0 (Γ=0) or KE0= 0.001 W m−1 K−1 (Γ ~ 15). The effect of the spatial sensitivity of FP1 is included (+SS) or not. The Dione GTM at spatial resolution q = 64 is used. Top: footprint #3 located at latitude and west longitude (−30.89°, 123.84°). Bottom: footprint #5 located at latitude and west longitude (–50.40°, 130.02°).

Current usage metrics show cumulative count of Article Views (full-text article views including HTML views, PDF and ePub downloads, according to the available data) and Abstracts Views on Vision4Press platform.

Data correspond to usage on the plateform after 2015. The current usage metrics is available 48-96 hours after online publication and is updated daily on week days.

Initial download of the metrics may take a while.