Open Access

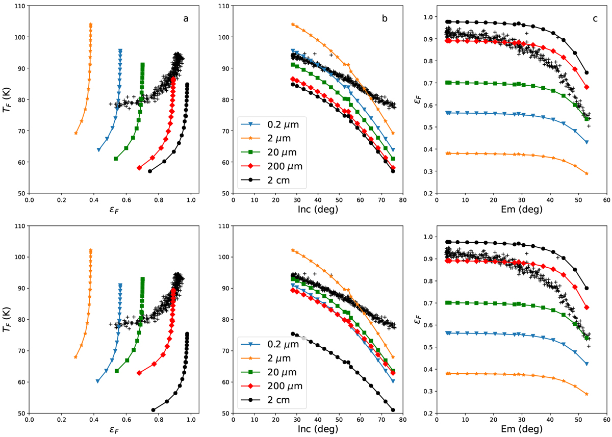
Fig. 8

image

Download original image

Modelled (TF, εF) and observed (Tobs, εobs, +) apparent temperature and emissivity in the FP1 FOV during observation CIRS_222DI_DIONE001_PIE vs incidence (Inc) or emission (Em) angles. The bolometric Bond albedo A = 0.63 and the ice phase is amorphous. The topography of Dione GTM (q = 64) and the spatial sensitivity of FP1 are included. The emissivity of surface elements is assumed to be isotropic (Eq. (13)). Top: Modelled (TF, εF) versus grain size, R, for thermal inertia Γ ~ 15 MKS assuming constant thermal conductivity kE = 0.001 W m−1 K−1 and p = 0.5. Bottom: Modelled (TF, εF) versus grain size, R, for an effective conductivity being both radiative and conductive. The contacts are tight and p = 0.7 so that the thermal inertia is in the range 2–23 MKS.

Current usage metrics show cumulative count of Article Views (full-text article views including HTML views, PDF and ePub downloads, according to the available data) and Abstracts Views on Vision4Press platform.

Data correspond to usage on the plateform after 2015. The current usage metrics is available 48-96 hours after online publication and is updated daily on week days.

Initial download of the metrics may take a while.