Free Access

Fig. B.2.

image

Download original image

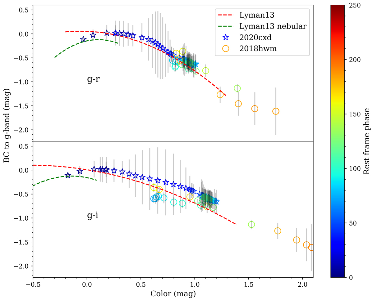
Bolometric correction of SN 2020cxd in the g band versus g − r (upper panel) and g − i (lower panel) colors. We have also included the corrections for SN 2018hvm as well as the comparison to the BC from Lyman et al. (2013). Overall, these are all similar which makes us confident in the applied corrections for SN 2020cxd.

Current usage metrics show cumulative count of Article Views (full-text article views including HTML views, PDF and ePub downloads, according to the available data) and Abstracts Views on Vision4Press platform.

Data correspond to usage on the plateform after 2015. The current usage metrics is available 48-96 hours after online publication and is updated daily on week days.

Initial download of the metrics may take a while.