Free Access

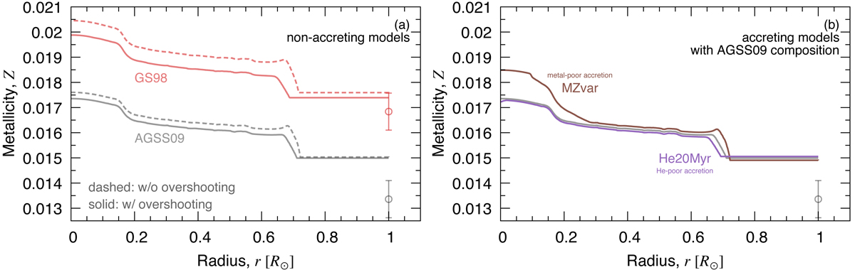
Fig. A.3.

image

Download original image

Radial metallicity profiles in the solar interior at 4.567 Gyr for non-accreting models (left panel) and accreting models (right panel). The red and gray lines denote the cases with the GS98 and AGSS09 compositions, respectively (models noacc-GS98-noov, noacc-GS98, noacc-noov, and noacc, from top to bottom). The target values of Zsurf at 4.567 Gyr are 0.0168 ± 0.0007 and 0.0134 ± 0.0007, respectively (see Table 3). The brown and purple lines in the right panel show the results of models MZvar and He20Myr, respectively (see Table 1 and Fig. 5).

Current usage metrics show cumulative count of Article Views (full-text article views including HTML views, PDF and ePub downloads, according to the available data) and Abstracts Views on Vision4Press platform.

Data correspond to usage on the plateform after 2015. The current usage metrics is available 48-96 hours after online publication and is updated daily on week days.

Initial download of the metrics may take a while.