Free Access

Fig. A.4.

image

Download original image

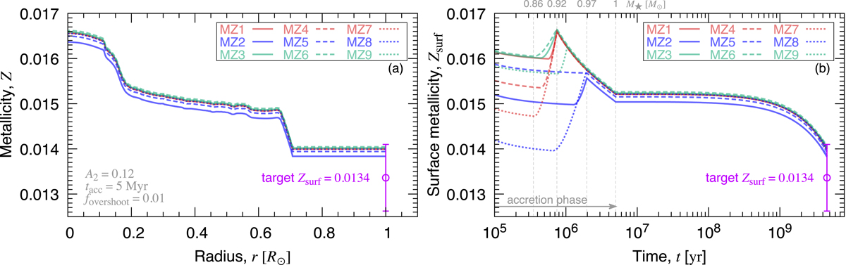
Results of the K2-MZ model with different Zacc (models MZ1–MZ9; see Tables 1 and 4). The left and right panels show the radial metallicity profile in the solar interior at 4.567 Gyr and the time evolution of the surface metallicity Zsurf, respectively.

Current usage metrics show cumulative count of Article Views (full-text article views including HTML views, PDF and ePub downloads, according to the available data) and Abstracts Views on Vision4Press platform.

Data correspond to usage on the plateform after 2015. The current usage metrics is available 48-96 hours after online publication and is updated daily on week days.

Initial download of the metrics may take a while.