Open Access

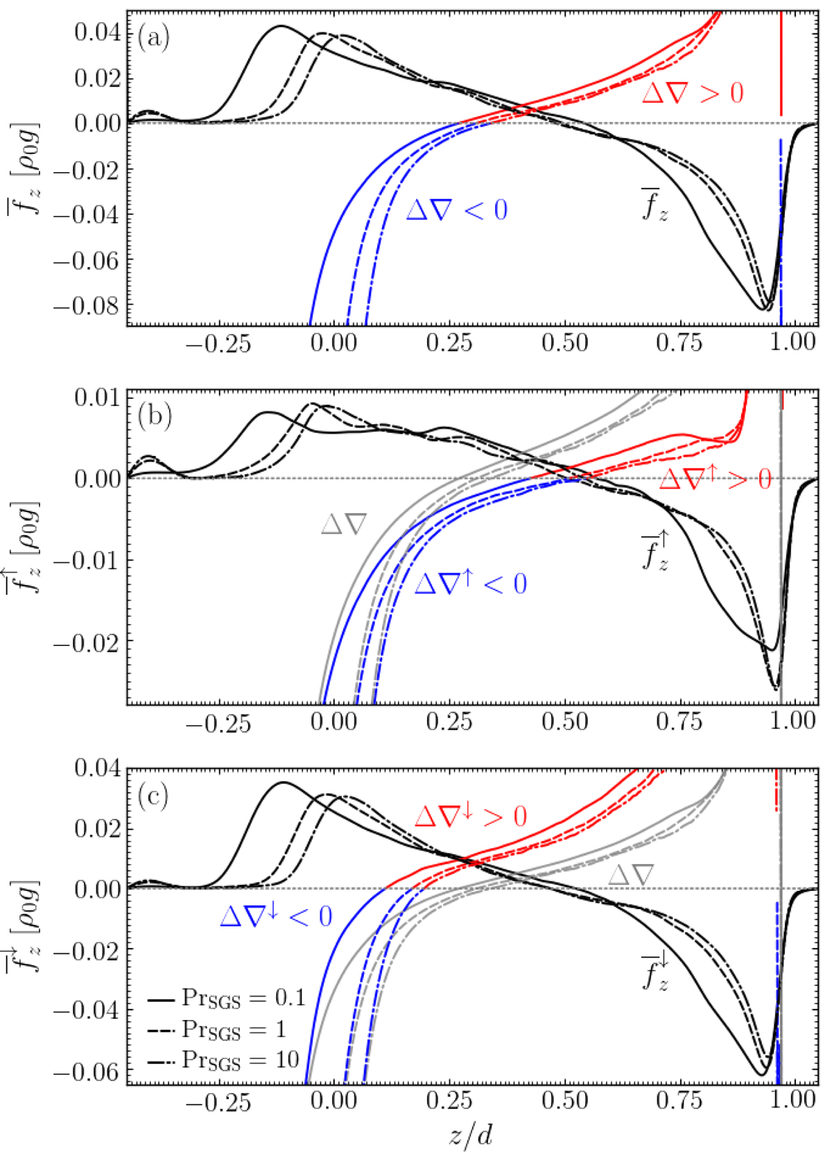
Fig. 21.

image

Download original image

Horizontally averaged forces for the total flow (a), upflows (b) and downflows (c) for runs C01 (PrSGS = 0.1, solid lines), C1 (PrSGS = 1, dashed), and C10 (PrSGS = 10 dash-dotted). The blue and red lines show the corresponding superadiabatic temperature gradients with blue denoting negative and red positive values. The grey lines in panels b and c indicate Δ∇ for reference.

Current usage metrics show cumulative count of Article Views (full-text article views including HTML views, PDF and ePub downloads, according to the available data) and Abstracts Views on Vision4Press platform.

Data correspond to usage on the plateform after 2015. The current usage metrics is available 48-96 hours after online publication and is updated daily on week days.

Initial download of the metrics may take a while.