Open Access

Fig. 3.

image

Download original image

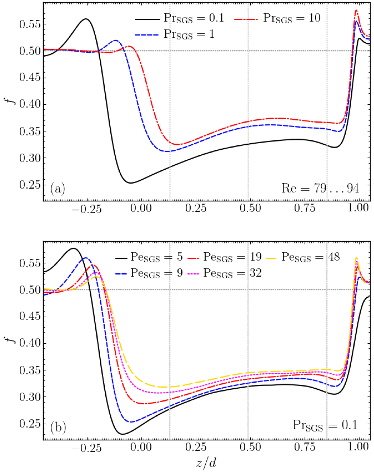
Filling factor of downflows for SGS Prandtl numbers 0.1 (solid line), 1 (dashed), and 10 (dash-dotted) as indicated by the legend from runs B01, B1, and B10 (a). Filling factor in runs with PrSGS = 0.1 with different PeSGS(b). The vertical dotted lines indicate the depths from which representative data for the top, middle, and bottom of the CZ are considered.

Current usage metrics show cumulative count of Article Views (full-text article views including HTML views, PDF and ePub downloads, according to the available data) and Abstracts Views on Vision4Press platform.

Data correspond to usage on the plateform after 2015. The current usage metrics is available 48-96 hours after online publication and is updated daily on week days.

Initial download of the metrics may take a while.