Free Access

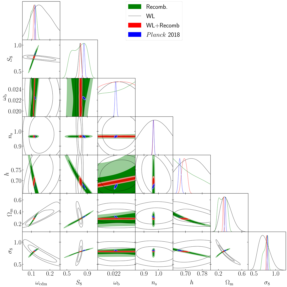
Fig. A.3.

image

Download original image

Marginalised posteriors distributions from the analysis of the WL and Recomb data sets. The Recomb data set is composed of data points for θ*, As, and ns which are inferred via marginalisation of the fiducial Planck posteriors (Planck Collaboration VI 2020) over the remaining cosmological parameters, as described in Section 3.4. Each panel shows the posterior resulting from a separate analysis of Recomb (green) and weak lensing (black) data sets as well as the combination of both data sets (red). Additionally, we show the Planck 2018 contours for reference (blue).

Current usage metrics show cumulative count of Article Views (full-text article views including HTML views, PDF and ePub downloads, according to the available data) and Abstracts Views on Vision4Press platform.

Data correspond to usage on the plateform after 2015. The current usage metrics is available 48-96 hours after online publication and is updated daily on week days.

Initial download of the metrics may take a while.