Press Release
Open Access

Fig. 3

image

Download original image

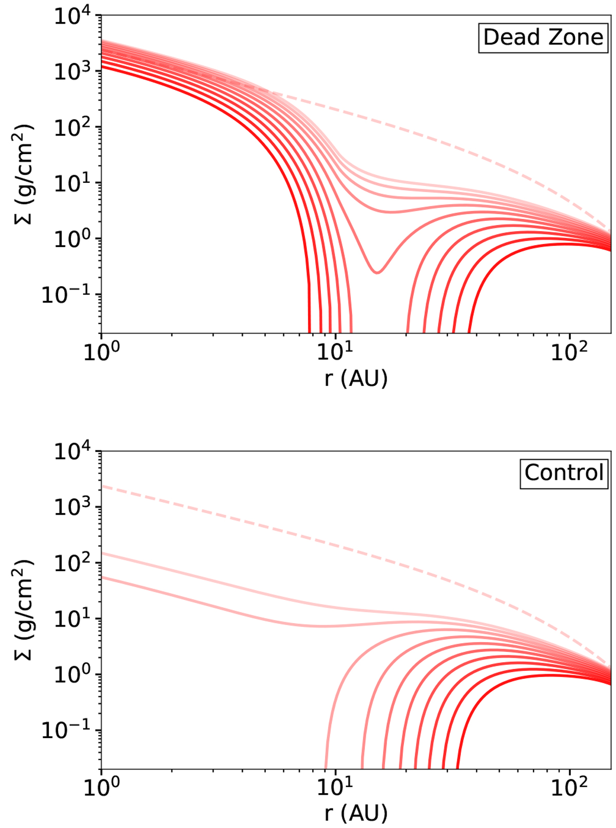
Gas surface-density evolution of two simulations, with (top) and without (bottom) a dead zone, undergoing photoevaporative dispersal (with Lx = 1030 erg s−1). The dashed line shows the initial gas surface density. The solid lines show the gas evolution every 0.2 Myr, starting at 2.5 Myr, where the opacity increases with time. The dead-zone parameters for the top panel are αdz = 10−4 and rdz = 10 AU.

Current usage metrics show cumulative count of Article Views (full-text article views including HTML views, PDF and ePub downloads, according to the available data) and Abstracts Views on Vision4Press platform.

Data correspond to usage on the plateform after 2015. The current usage metrics is available 48-96 hours after online publication and is updated daily on week days.

Initial download of the metrics may take a while.