Press Release
Open Access

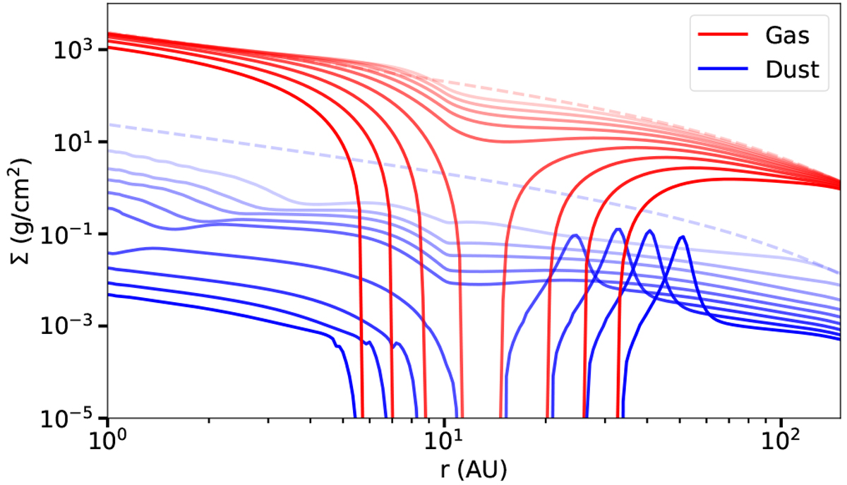
Fig. 8

image

Download original image

Surface-density evolution for gas and dust (integrated for all particle sizes) in a disk with a dead zone (as described in Sect. 3.3). The dashed line shows the initial condition, the solid lines show the disk evolution every 0.2 Myr. The star has an X-ray luminosity of Lx = 1031 erg s−1, which leads to a gap opening at t ≈ 1 Myr.

Current usage metrics show cumulative count of Article Views (full-text article views including HTML views, PDF and ePub downloads, according to the available data) and Abstracts Views on Vision4Press platform.

Data correspond to usage on the plateform after 2015. The current usage metrics is available 48-96 hours after online publication and is updated daily on week days.

Initial download of the metrics may take a while.