Free Access

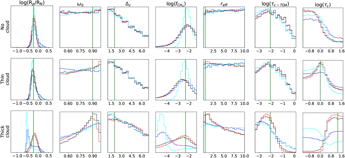
Fig. 4

image

Download original image

Marginalized posterior probability distributions of each model parameter for several combinations of observations in the no-, thin- and thick-cloud scenarios (top, middle, and bottom row, respectively). Blue lines mark the combination (37°+85°); red lines, (37°+123°) and black lines, (37°+85°+123°). For reference, cyan lines indicate the results of a single-phase observation at α = 37° but doubling the S/N to 20. Green lines mark the true values of the model parameters (see Sect. 3.1) for this observation. The 2D posterior probability distributions for these retrievals can be found in Figs. B.1B.3.

Current usage metrics show cumulative count of Article Views (full-text article views including HTML views, PDF and ePub downloads, according to the available data) and Abstracts Views on Vision4Press platform.

Data correspond to usage on the plateform after 2015. The current usage metrics is available 48-96 hours after online publication and is updated daily on week days.

Initial download of the metrics may take a while.