Free Access

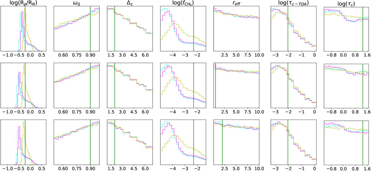
Fig. 7

image

Download original image

Marginalized posterior probability distributions of each model parameter for single-phase observations in the thick-cloud scenario at phase angles 37° (cyan), 85° (magenta), and 123° (yellow). Top row: assuming a true value of reff = 0.10 μm for the cloud aerosols. Middle row: assuming a true value of reff = 0.50 μm for the cloud aerosols, as in Sect. 4. Bottom row: assuming a true value of reff = 2.0 μm for the cloud aerosols. Vertical green lines mark the true values of the model parameters (see Sect. 3.1).

Current usage metrics show cumulative count of Article Views (full-text article views including HTML views, PDF and ePub downloads, according to the available data) and Abstracts Views on Vision4Press platform.

Data correspond to usage on the plateform after 2015. The current usage metrics is available 48-96 hours after online publication and is updated daily on week days.

Initial download of the metrics may take a while.