Free Access

Table 2

Retrieval results for different phase angles and their combinations, for all three cloud scenarios.

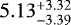
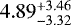
α log10 (RpRN) log10 (τc) Δc [Hg] log10(τc→TOA) reff [μm] ω0 log10()
No-cloud 37°
                 
85°
                 
123°
                 
37° (SN = 20)
                 
(37°+85°)
                 
(37°+123°)
                 
(37°+85°+123°)
                 
True values − 0.22 − 1.30 2 − 2.04 0.50 0.90 − 2.30

Thin-cloud 37°
                 
85°
                 
123°
                 
37° (SN = 20)
                 
(37°+85°)
                 
(37°+123°)
                 
(37°+85°+123°)
                 
True values − 0.22 0.0 2 − 2.04 0.50 0.90 − 2.30

Thick-cloud 37°
                 
85°
                 
123°
                 
37° (SN = 20)
                 
(37°+85°)
                 
(37°+123°)
                 
(37°+85°+123°)
                 
True values − 0.22 1.30 2 − 2.04 0.50 0.90 − 2.30

Notes. The quoted values correspond to the median of the marginalized posterior probability distribution for each model parameter, with the upper and lower uncertainties given by the 16 and 84% quantiles.

Current usage metrics show cumulative count of Article Views (full-text article views including HTML views, PDF and ePub downloads, according to the available data) and Abstracts Views on Vision4Press platform.

Data correspond to usage on the plateform after 2015. The current usage metrics is available 48-96 hours after online publication and is updated daily on week days.

Initial download of the metrics may take a while.