Free Access

Fig. 3

image

Download original image

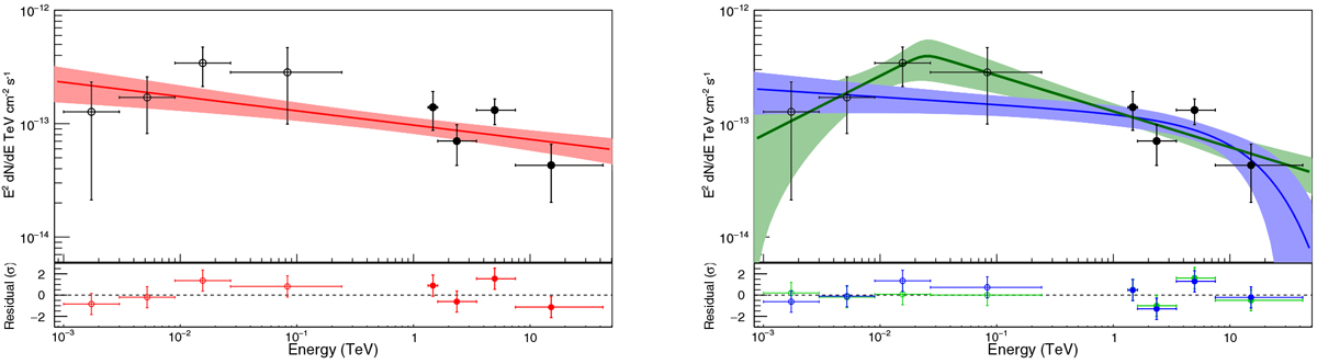
Left: Fermi-LAT (open circles) and H.E.S.S (dots) combined spectrum fit with a power law. Right: Fermi-LAT and H.E.S.S combined spectrum fit with a power law with an exponential cutoff (blue) and a broken power law (green). For both figures, the best-fit functions are shown with 68% error bars inthe shaded region, as well as residuals compared to the fit. The flux point error bars represent the statistical uncertainties. The fit parameters are reported in Table 1.

Current usage metrics show cumulative count of Article Views (full-text article views including HTML views, PDF and ePub downloads, according to the available data) and Abstracts Views on Vision4Press platform.

Data correspond to usage on the plateform after 2015. The current usage metrics is available 48-96 hours after online publication and is updated daily on week days.

Initial download of the metrics may take a while.