Free Access

Fig. 4

image

Download original image

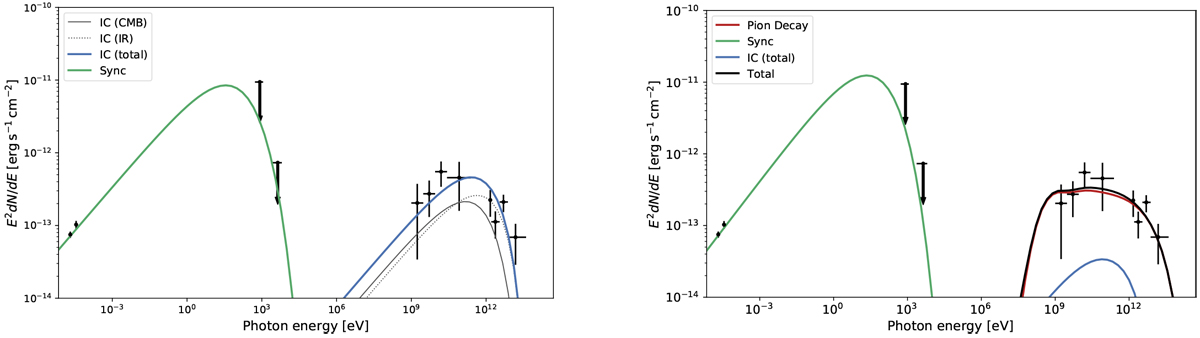
Left: Leptonic model considering an electron distribution following a power law with an exponential cutoff. The parameters are described in Table 2 and the IR photon density is 1 eV cm−3. Right: Hadronic model considering a proton distribution following a power law with an exponential cutoff. The parameters are described in Table 2.

Current usage metrics show cumulative count of Article Views (full-text article views including HTML views, PDF and ePub downloads, according to the available data) and Abstracts Views on Vision4Press platform.

Data correspond to usage on the plateform after 2015. The current usage metrics is available 48-96 hours after online publication and is updated daily on week days.

Initial download of the metrics may take a while.