Open Access

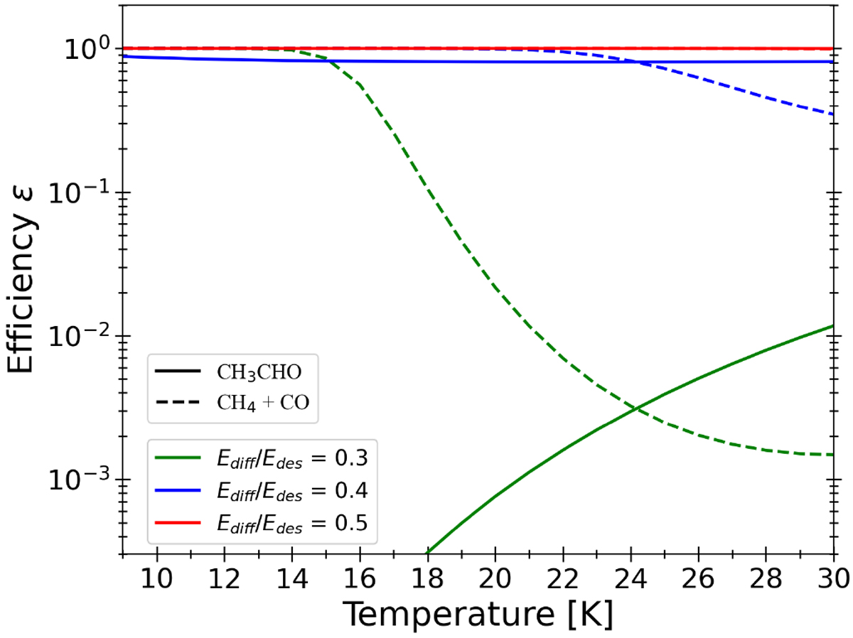
Fig. 2

image

Download original image

Reaction efficiency ε (Eq. (3)) of the reaction CH3 + HCO leading to either CH3CHO (solid lines) or CO + CH4 (dashed lines) as a function of the temperature. The computations were obtained adopting three different Ediff /Edes ratios: 0.3 (green), 0.4 (blue) and 0.5 (red). We note that, for Ediff/Edes = 0.5 the CH3CHO and CO + CH4 (red) curves overlap, namely they are constant and equal to 1.

Current usage metrics show cumulative count of Article Views (full-text article views including HTML views, PDF and ePub downloads, according to the available data) and Abstracts Views on Vision4Press platform.

Data correspond to usage on the plateform after 2015. The current usage metrics is available 48-96 hours after online publication and is updated daily on week days.

Initial download of the metrics may take a while.