Open Access

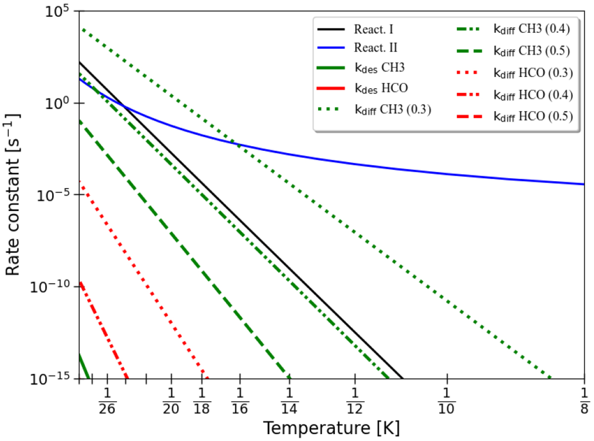
Fig. C.1

image

Download original image

Comparison of reaction, diffusion and desorption rate constants involved in the CH3 + HCO system. Notice that the desorption rate of HCO is not seen as it appears at very low rate constant values. Numbers in brackets indicate the diffusion-to-desorption energy barrier ratio.

Current usage metrics show cumulative count of Article Views (full-text article views including HTML views, PDF and ePub downloads, according to the available data) and Abstracts Views on Vision4Press platform.

Data correspond to usage on the plateform after 2015. The current usage metrics is available 48-96 hours after online publication and is updated daily on week days.

Initial download of the metrics may take a while.