Free Access

Fig. 2.

image

Download original image

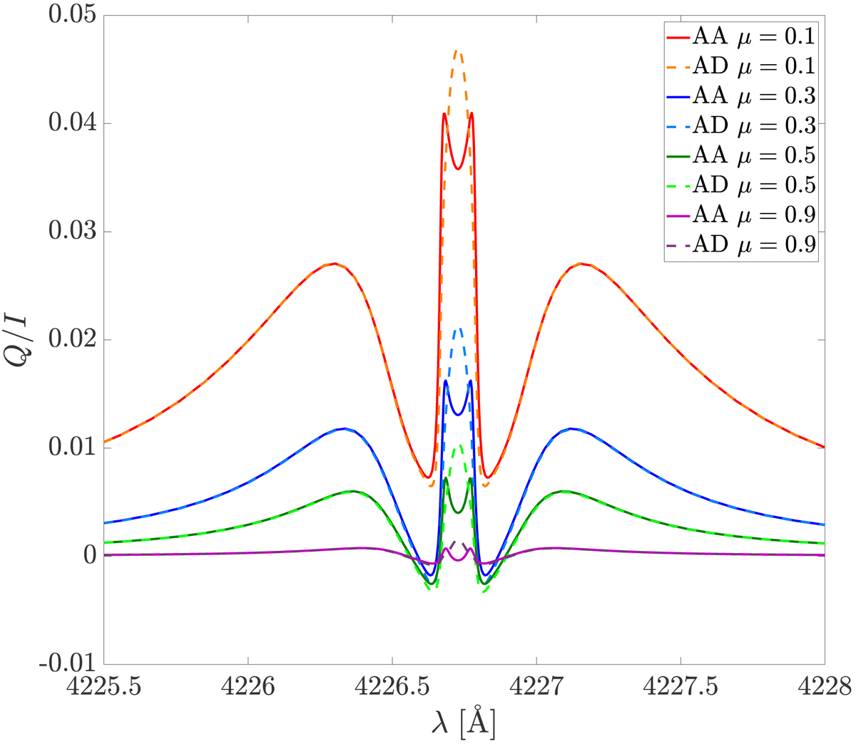
Emergent Q/I profiles calculated in the FAL-C atmospheric model for different LOSs, taking into account PRD effects both under the AA approximation (solid lines) and in the general AD case (dashed lines). No magnetic field is considered. The considered LOS are: μ = 0.1 (red and orange lines), μ = 0.3 (blue and light blue lines), μ = 0.5 (green and pale green lines), and μ = 0.9 (purple and violet lines). The reference direction for positive Q is considered to be parallel to the limb.

Current usage metrics show cumulative count of Article Views (full-text article views including HTML views, PDF and ePub downloads, according to the available data) and Abstracts Views on Vision4Press platform.

Data correspond to usage on the plateform after 2015. The current usage metrics is available 48-96 hours after online publication and is updated daily on week days.

Initial download of the metrics may take a while.