Free Access

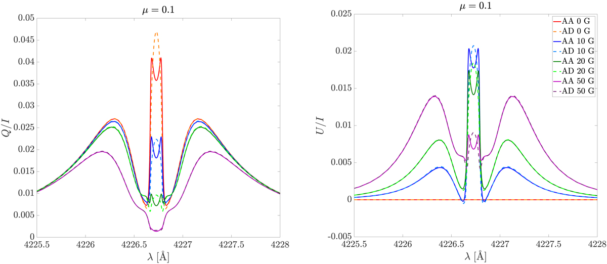
Fig. 3.

image

Download original image

Emergent Q/I (left panel) and U/I (right panel) calculated in the FAL-C atmospheric model for a LOS with μ = 0.1, taking into account PRD effects both under the AA approximation (solid lines) and in the general AD case (dashed lines). The magnetic field is horizontal and contained in the plane defined by the local vertical and the LOS. Different field strengths have been applied: 0 G (red and orange lines), 10 G (blue and light blue line), 20 G (green and pale green lines), and 50 G (purple and violet lines). The reference direction for positive Q is considered to be parallel to the limb.

Current usage metrics show cumulative count of Article Views (full-text article views including HTML views, PDF and ePub downloads, according to the available data) and Abstracts Views on Vision4Press platform.

Data correspond to usage on the plateform after 2015. The current usage metrics is available 48-96 hours after online publication and is updated daily on week days.

Initial download of the metrics may take a while.