Free Access

Fig. 2.

image

Download original image

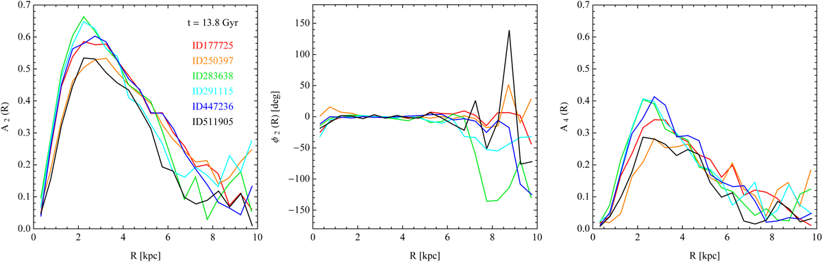
Profiles of bar mode A2(R) (left panel), the phase of the bar mode ϕ2(R) (middle panel), and the m = 4 mode A4(R) (right panel) for IllustrisTNG galaxies with lopsided bars at the present time. Measurements were carried out in bins of ΔR = 0.5 kpc.

Current usage metrics show cumulative count of Article Views (full-text article views including HTML views, PDF and ePub downloads, according to the available data) and Abstracts Views on Vision4Press platform.

Data correspond to usage on the plateform after 2015. The current usage metrics is available 48-96 hours after online publication and is updated daily on week days.

Initial download of the metrics may take a while.